We’d like to remind Forumites to please avoid political debate on the Forum.
This is to keep it a safe and useful space for MoneySaving discussions. Threads that are – or become – political in nature may be removed in line with the Forum’s rules. Thank you for your understanding.
IMPORTANT: Please make sure your posts do not contain any personally identifiable information (both your own and that of others). When uploading images, please take care that you have redacted all personal information including number plates, reference numbers and QR codes (which may reveal vehicle information when scanned).
📨 Have you signed up to the Forum's new Email Digest yet? Get a selection of trending threads sent straight to your inbox daily, weekly or monthly!
The Forum now has a brand new text editor, adding a bunch of handy features to use when creating posts. Read more in our how-to guide
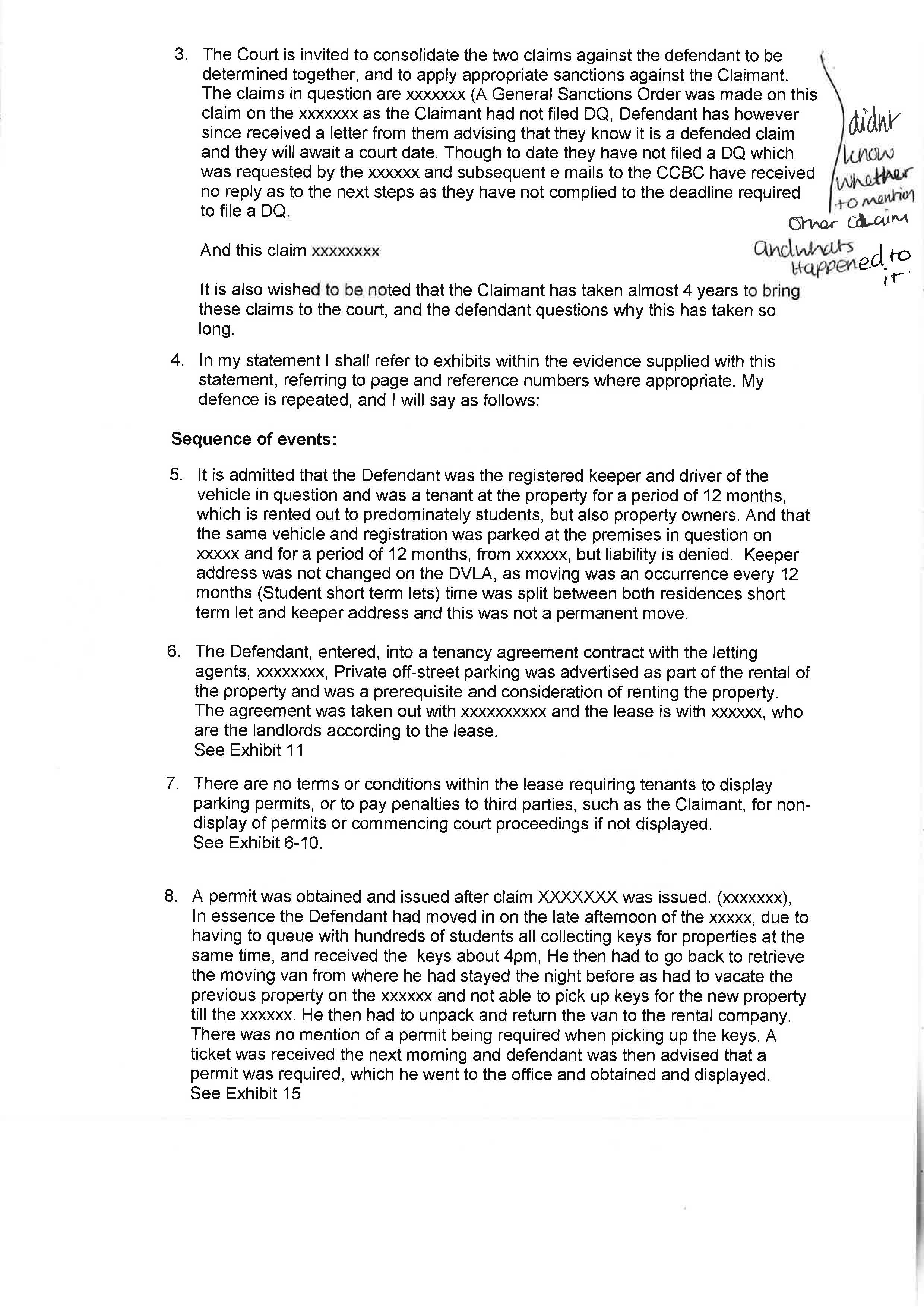
Court papers
Comments
-
ok thanks, the court is not the one I asked for but its only about an hour away so not a massive problem, if by the time its heard, (as D is away till November and have put this down on the form), its done in person, if not and over the phone then great.
I did theoretically enter the forms in time, but on one I omitted to press the submit button, I e mailed them explaining the mistake and enclosing proof, maybe they have took this into account. Or maybe I was just lucky, ok will wait and see what happens, have pretty much prepared the witness statements for when they are required and have asked the claims to be consolidated on there and on the original e mail defence. Apologies for panicking.
thanks for all your help0 -
Ok , sounds good , well thought out planning
Keep an eye on the stalled claim , weekly , see if that changes to match the other one , possibly over the next 3 weeks
If or when you get both Court claim orders from the allocated court , email them with both claim numbers and ask for the two claims to be consolidated into one.2 -
will do thank you1
-
Afternoon, is anyone able to cast an eye over the WS, received a court date now for one claim, other has received a general sanctions order on claimant, and is overdue, have e mailed CCBC but to date received no reply as to next steps. I have removed attachments as personal details on there. Many



thanks
0 -
Does this provide relevant evidence/narrative for all of your defence points?Jenni x2
-
I think so just wondering if a second set of eyes might see something I could include I’ve not case wise and that I’ve not ? Also wondering for the other claim on the paperwork it’s says they have 7 days to put their dq in It has almost been a a month Barr a couple of day’s. I have emailed CCbc as no one picks up the phone and asked what happens next as claimants has sent a letter saying they have been told it’s a defended claim and they will wait for a court date. Have they not missed the boat. Time wise ?0
-
You could email the Court that issued the Order and point out that the Claimants have failed to comply with an ‘unless’ order, and no DQ has been filed or served by the claimant, and you would be grateful for confirmation that the claim has been struck out.Don’t bother with Britannia v Crosby. Instead you need Excel v Wilkinson and the Recorder Cohen judgment as shown in the thread I started in May about that.
...also one day to get your feelings about enormous three figure parking charges and false costs, in front of the Government, if you’ve not done this yet:
https://forums.moneysavingexpert.com/discussion/6286801/government-consultation-re-private-parking-charge-levels-august-2021-please-bookmark-this-thread/p1PRIVATE 'PCN'? DON'T PAY BUT DON'T IGNORE IT (except N.Ireland).
CLICK at the top or bottom of any page where it says:
Home»Motoring»Parking Tickets Fines & Parking - read the NEWBIES THREAD1 -
Ok thank you1
-
Hi can you advise, I am assuming that I send a copy of the WS to the claimant as well, the letter does not give any instructions just to submit by the date given. There is no e mail address, so assume to send Signed for delivery to both. Also would you include the defence/WS for the other claim that has not been responded to as I have asked for the 2 claims to be consolidated ?
many thanks0 -
Everything you send to the court (file) you must also send to the claimant (serve). If the claimant has ever contacted you by e-mail you can use that address to send your documents. On the claim form there is usually an address for sending documents; what does it state? Do not use "signed-for" service, as, if they refuse delivery they have absolute proof of non-delivery, not what you want! Just send from a post office counter with correct postage and ask for a certificate of posting or proof of posting and keep that safe. It is deemed delivered two working days later. If both claims are being heard together, then yes, send the other WS. Defences are sent to claimants by the CCBC, so they should already have it, unless you been specifically ordered to send it.2
Confirm your email address to Create Threads and Reply
Categories
- All Categories
- 354K Banking & Borrowing
- 254.3K Reduce Debt & Boost Income
- 455.3K Spending & Discounts
- 247.1K Work, Benefits & Business
- 603.7K Mortgages, Homes & Bills
- 178.3K Life & Family
- 261.2K Travel & Transport
- 1.5M Hobbies & Leisure
- 16.1K Discuss & Feedback
- 37.7K Read-Only Boards


