We’d like to remind Forumites to please avoid political debate on the Forum.
This is to keep it a safe and useful space for MoneySaving discussions. Threads that are – or become – political in nature may be removed in line with the Forum’s rules. Thank you for your understanding.
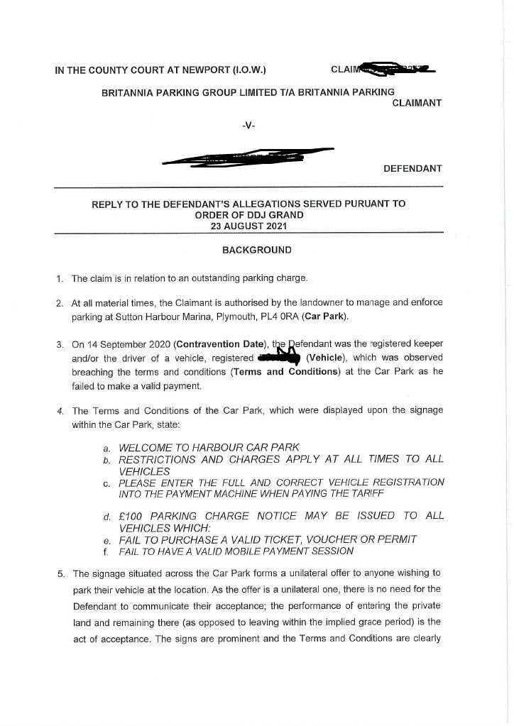
Britannia parking Plymouth.
Comments
- 
            IMO it looks as thiugh the claimant has been found out. I expect they will throw in the towel.You never know how far you can go until you go too far.2
 - 
            Sorry for only just getting back now to the "pooter" . . . it being an old type desktop, it takes considerably longer now than it used to for the embers/coals to warm up
   (5 years of promising myself a nice/sensible/portable laptop, like most other people seem to have managed to do)  and all i get is the kids (just about grown n flown now) saying "we should get you on 'TikTok' Dad"I have a feeling that they may be referring to the performance it takes to get them/myself set up at this "pooter" what with anxiously leaving wheelchair swap/juggle/balance for computer chair, then pack in around me half of the bedding i brought with me, pillows/quilt, blow up the 2 x children's swimming rings i have to sit on, or cram around me somewhere to make sure i stay in/on the chair itself and not fall off, crutches all within reach, and make sure my little cup of Earl Grey is kept topped up and hot through the day
  And to think it wasn't all that long ago, my worry/concern was a ticket for a car park Ha Ha.I digress . . . once again . . . off on a tangent . . . Thank you D_P_Dance once again for a more than welcome comment (and Redx i think in agreement with it) that 'possibly' the claimant may have as you say "thrown in the towel" It would need a representative here already on the Island to assist them, unless they pay "high season" Ferry prices to send a person/vehicle here for possibly the whole day, and a night in a hotel just in case, for such an amount of money, and the gamble of actually getting it.I do like this Island for oddities like this . . . it is far enough away to just about cost enough to keep away day tripper pickpockets etc, who would have a "field day" here, and car thieves, as you have to leave here "booked" on a Ferry, and any "high crime" is a pair of Robins having away your milk bottle tops from front door step
 My apologies for taking such a whimsical attitude to what could well be for me a pretty expensive experience, and many others just like me. It would seem so many of these Companies are dredging up old cases/information, as Covid has caused such a lull in their business/income. I guess it is in the hope that everyone has moved home/Address, and therefore they can sneak in and at minimum give a person a CCJ, and possibly get paid out somehow, in the absence of the unsuspecting/unknowing defendant ?! All a very "nasty" business as far as i am concerned.Sorry to have "waffled on" again, and all being well, claimant will consider it not worth pursuing considering the shambles it was on the actual day, and the parking attendants that were there, were i feel, only minutes away from walking away from the place altogether seemingly having between them "one of those days"
Thank you all once again . . . me0 - 
            I agree with D_P_Dance, in this area of the country BWL has form and DJ Grand knows all about them
BWL would be totally foolish to continue because they will be zapped ... again
The main question is ... why don't Britannia consult real solicitors to get professionalr advice ??
They are after all BOTH BPA members who claim they are "driving standards upwards"
For you, you must not believe in the fairies because THEY DO
3 - 
            It would need a representative here already on the Island to assist them, unless they pay "high season" Ferry prices to send a person/vehicle here for possibly the whole day, and a night in a hotel just in case, for such an amount of money, and the gamble of actually getting it.No one coming to the IOW - all done by phone or video link - Covid restrictions. If the latter, and your current PC is clapped out, ask for the loan of one of your kids' laptops for the day.what could well be for me a pretty expensive experience,~£200.Straight to the point, no waffle!Please note, we are not a legal advice forum. I personally don't get involved in critiquing court case Defences/Witness Statements, so unable to help on that front. Please don't ask. .
I provide only my personal opinion, it is not a legal opinion, it is simply a personal one. I am not a lawyer.
Give a man a fish, and you feed him for a day; show him how to catch fish, and you feed him for a lifetime.Private Parking Firms - Killing the High Street3 - 
            Thanks Umkomaas for comment on borrowing a laptop from the kids, that is what i will probably do. We as parents probably bought them anyway as Xmas or Birthday presents at some stage in the past, so i will probably end up with the worst one of the possible offerings.And thankfully we are all different, and i do maybe "waffle on" a bit, but nobody has to read/listen to any of it if they have better things to do, and as i will be taking your advice on a loan of a laptop, it would be nice if i receive news in the post that the claimant has possibly given up on it all, and it won't be required
"Straight to the point, no waffle!"And on your previous note . . . i will stop boring everyone to death, and quickly say Bye and thanks once more
2 - 
            L. O. once more . . .certainly relentless these people . . . latest from last night when i got to read it, and my Son amend some details, and convert from PDF?! JPEG? . . anyway it seems to have worked, it's just up to me this afternoon to transfer it on to here
 I notice that they mention 3 working machines on premises, but it doesn't mean that the one i was stuck at right on the exit ramp, with many others waiting behind me to "move on" & "get going" was working correctly? Did that list come out of one picked/chosen machine that was working fine? I know nothing of how those machines work, or how you can just open one of them up like a shop till, and just take out a roll of customers/payments. Who knows!And as for making a payment via my mobile phone, that would never happen, i'm normally happy if it sends/receives calls etc.I notice also that they have mentioned in REPLY number 11 "The 1 page document in defence" which was the one i sent to MCOL (mentioned earlier in this thread) where i realized at the last minute that it will only accept a certain amount of script/letters in a pre set box, was actually late in arriving to them (all documented)Your defence was submitted on 28/06/2021 at 15:25:50
Your defence was received on 28/06/2021 at 16:05:09
Your defence was rejected on 29/06/2021
Your defence was received on 29/06/2021
and the actual defence that MCOL have on record that was accepted the next day, was about 5 pages long in total, and was duly signed as a "statement of the truth" . . . not sure what will happen with that situation . . . losing it with this lot. I do see why people just give up and say "how do you want the money?" Can we do some in cash, and the rest in blood

Anyway . . . enough of your time taken already, i will depart, and once again, nobody is obliged to reply whatsoever, maybe just have a read, and think "Ha Ha shame for him, glad it's not me"
Kind regards once more . . .







0 - 
            Is that so called evidence list not even headed with the location, let alone showing the column on the left, that always shows which machine the payment was made at?!
Nor does the BW Legal witness say who provided her with that ‘list’ and nor has anyone from the claimant company signed and dated/validated it. None of those are full numberplates, so someone has been editing that document...so why has that person not confirmed at least that it is a true copy and what they removed?
This list could literally have berm mocked up from any site using Parkeon payments, anywhere in the Country. Have a look at Excel v Ambler, a transcript hosted by the Parking Prankster on his blog, that shows that these lists can be altered, and have been by parking firms before.PRIVATE 'PCN'? DON'T PAY BUT DON'T IGNORE IT (except N.Ireland).
CLICK at the top or bottom of any page where it says:
Home»Motoring»Parking Tickets Fines & Parking - read the NEWBIES THREAD2 - 
            I probably missed it but what time was on the ticket.
The logs are pointless as they do not prove those payments that fail
Shapla Begun has signed a sttement of truth, a legal declaration.
Is Shapla Begun telling the truth when he/she has not a clue wahat is going on ?
ESPECAIILY THE FAKE ADDON ?
As far as Britannia, you must ensure that the company claiming against you is correct
* The company shown on the signs
* The same company is shown on the parkng charge
/ The same company who is shown on a landowners contract
Check it out ....
https://find-and-update.company-information.service.gov.uk/officers/RHPBpZJHOsN21zDn5VXHggkxTLo/appointments
2 - 
            First and foremost once again, many thanks Coupon-mad, and patient_dream for responding . . . + Coupon-mad, i see you commented on a previous thread on 1st December 2018, relating to this very item you mentioned yesterday evening . . .and i quote from 1/12/18 " And Excel v Ambler was posted about on this forum, by lamilad" and i have already started searching it out now (will be looking up 'parking prankster') and generally trying to discredit this reply i have received.These companies seem to fly by the seat of their pants, and be it legal or not, try things out, and just see what happens
  I shall read up more on the recommended Excel v Ambler before i voice my opinion on the debatable/altered number plate list. I guess if they can show camera footage of me so easily, maybe they can prove these are genuinely from there, then show me all the other customers times/photos as well?!"Is that so called evidence list not even headed with the location, let alone showing the column on the left, that always shows which machine the payment was made at?!"Yet another thing i knew nothing about, (your above comment) which does make one wonder if it is that simple for them to "pull the wool" to the likes of the unsuspecting public ie: myself and many others
   Unscrupulous springs to mind . .   . Also thanks patient_dream for reply, this was the time we broke down (though all of us at the time agreed, it was more like 10 minutes, 30 minutes is a long time to stand and look at an engine overheat . . . 11/39/48 to 12/12/13 on the 14/9/20. And i have already looked up a variety of the Britannia companies as you mentioned with such similar names/details, and will be spending some more time looking this afternoon. . . . "pooter time"
2 - 
            Thanks patient_dream, and were you referring to the additional number plate list at the end when you mentioned "ESPECAIILY THE FAKE ADDON ?"Much appreciated . . . (will be nice when i can actually use my name)0
 
Confirm your email address to Create Threads and Reply
Categories
- All Categories
 - 352.3K Banking & Borrowing
 - 253.6K Reduce Debt & Boost Income
 - 454.3K Spending & Discounts
 - 245.3K Work, Benefits & Business
 - 601K Mortgages, Homes & Bills
 - 177.5K Life & Family
 - 259.1K Travel & Transport
 - 1.5M Hobbies & Leisure
 - 16K Discuss & Feedback
 - 37.7K Read-Only Boards
 
         
         
         
         
