We’d like to remind Forumites to please avoid political debate on the Forum.
This is to keep it a safe and useful space for MoneySaving discussions. Threads that are – or become – political in nature may be removed in line with the Forum’s rules. Thank you for your understanding.
IMPORTANT: Please make sure your posts do not contain any personally identifiable information (both your own and that of others). When uploading images, please take care that you have redacted all personal information including number plates, reference numbers and QR codes (which may reveal vehicle information when scanned).
📨 Have you signed up to the Forum's new Email Digest yet? Get a selection of trending threads sent straight to your inbox daily, weekly or monthly!
The Forum now has a brand new text editor, adding a bunch of handy features to use when creating posts. Read more in our how-to guide
Parking charge claims
Comments
-
Im being practical, which is that complying - while complaining - is a way forward. It lets themn dig deeper.3
-
Hello all, I have read the other threads thank you. Its mad how many people they are doing this to. I did as suggested and sent the court claims, a phone bill with just my name and address and covered up info on driving licence apart from address and name. No reply as yet let's see what excuse they come up with this time! My email address is also my name, and I've seen on another thread who used her nickname that they wouldn't provide the SAR because of that.. so we shall see.2
-
So concentrate on doing the abovenosferatu1001 said:Nope, youll start with the template defence already written, which only requires you to change two para.
Twice , if you have 2 claims on the go , shouldn't take long to adapt 2 paragraphs , the rest of the defence has been done for you , with little or no changes required , then post the proposed changes ONLY for critique , don't post the unchanged paragraphs , we don't need to see the rest
This task has little or nothing to do with your SAR , also bear in mind that court cases have been put off until August at the earliest so you can assume 6 to 12 months before any hearing so once the defences are submitted and your DQ sent to CCBC and claimant for both cases , possibly asking for both cases to be consolidated ? You can sit back , perhaps doing the WS plus Exhibits plus summary costs assessment while it's fresh in your mind , then file away for now2 -
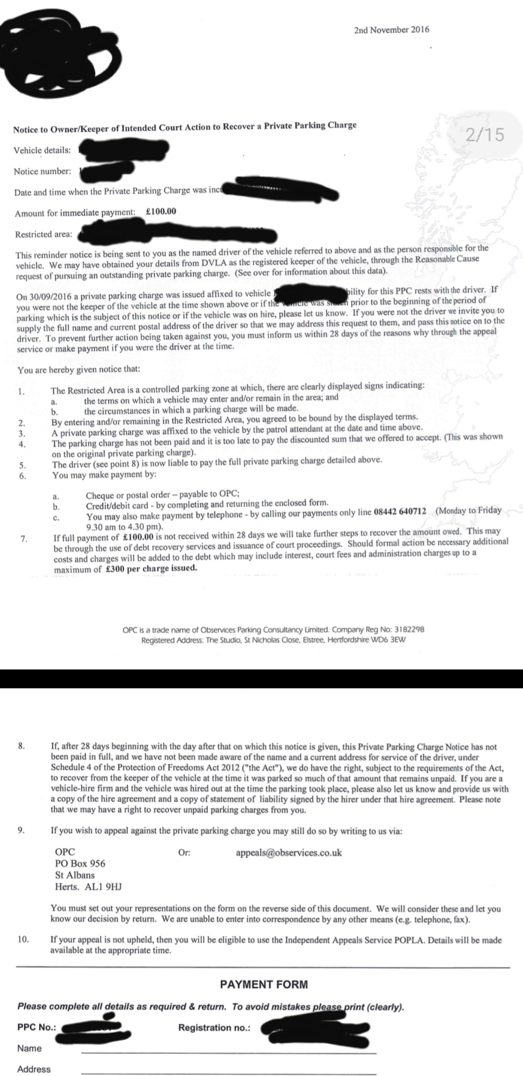
Your most recent post clearly shows your vehicle's registration mark.3
-
YOU cant consolidate the claims. Obviously that is somethign the court can do only.
You just request it, at each and every stage. Covering letters are marvelous things .
SIgnage of course is not part of a SAR. IT isnt personal info3 -
Thank you I will apply for the claims to be consolidated.
0 -
I wonder if OPC actually hold details going back a few years - maybe the reason for the hurdles they're placing in front of the OP (and on others in parallel threads) hoping for them to give up? Of course, this isn't primarily about litigation per se, it's just another form of debt collection (extortion).Please note, we are not a legal advice forum. I personally don't get involved in critiquing court case Defences/Witness Statements, so unable to help on that front. Please don't ask. .
I provide only my personal opinion, it is not a legal opinion, it is simply a personal one. I am not a lawyer.
Give a man a fish, and you feed him for a day; show him how to catch fish, and you feed him for a lifetime.#Private Parking Firms - Killing the High Street3 -
They have photographic evidence of the vehicles in the office car park but as it has now been demolished and rebuilt I'm unable to go and look for signage.
I've looked at the template for defence (thank you for this!) And I am going to try and work on paragraphs 16 and 17. Will post up for your guys opinion.
Just wanted to say a big thank you for all your help so far!1 -
They have photographic evidence of the vehicles in the office car park but as it has now been demolished and rebuilt I'm unable to go and look for signage.Does Google Street View help? There's a timeline button on it to go back to the nearest relevant date.Please note, we are not a legal advice forum. I personally don't get involved in critiquing court case Defences/Witness Statements, so unable to help on that front. Please don't ask. .
I provide only my personal opinion, it is not a legal opinion, it is simply a personal one. I am not a lawyer.
Give a man a fish, and you feed him for a day; show him how to catch fish, and you feed him for a lifetime.#Private Parking Firms - Killing the High Street2 -
Looking at the email requesting photo evidence, John Portway seems to be living in cloud cuckoo land
They got info from the DVLA and you can confirm just that with your V5. Without the V5, a redacted utility bill will suffice. Maybe the ICO should set up a teaching centre to assist these scammers.
NOBODY should send photo ID to a parking cowboy, you never know where it will end up2
Confirm your email address to Create Threads and Reply
Categories
- All Categories
- 353.8K Banking & Borrowing
- 254.2K Reduce Debt & Boost Income
- 455.2K Spending & Discounts
- 246.8K Work, Benefits & Business
- 603.4K Mortgages, Homes & Bills
- 178.2K Life & Family
- 260.9K Travel & Transport
- 1.5M Hobbies & Leisure
- 16K Discuss & Feedback
- 37.7K Read-Only Boards
