We’d like to remind Forumites to please avoid political debate on the Forum.
This is to keep it a safe and useful space for MoneySaving discussions. Threads that are – or become – political in nature may be removed in line with the Forum’s rules. Thank you for your understanding.
IMPORTANT: Please make sure your posts do not contain any personally identifiable information (both your own and that of others). When uploading images, please take care that you have redacted all personal information including number plates, reference numbers and QR codes (which may reveal vehicle information when scanned).
📨 Have you signed up to the Forum's new Email Digest yet? Get a selection of trending threads sent straight to your inbox daily, weekly or monthly!
The Forum now has a brand new text editor, adding a bunch of handy features to use when creating posts. Read more in our how-to guide
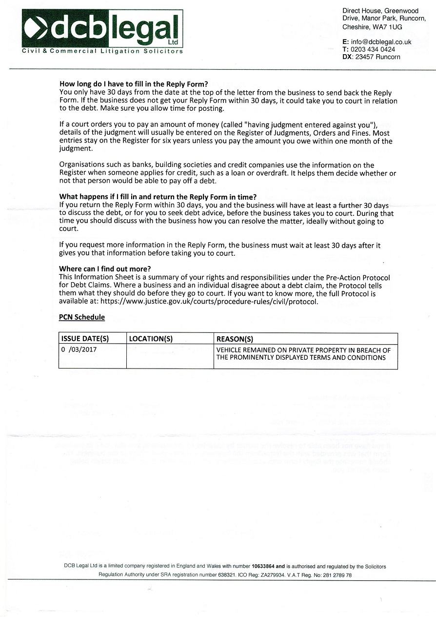
DCB Legal Letter of Claim for 3-4 year old PCN
hitman126
Posts: 68 Forumite
Hello,
I recently received a Letter of Claim from DCB Legal, advising that they were acting
on behalf of a client and demanding immediate settlement of an alleged PCN dating
back to March 2017. Not surprisingly, I have absolutely no recollection any such PCN,
let alone any parking contravention.
on behalf of a client and demanding immediate settlement of an alleged PCN dating
back to March 2017. Not surprisingly, I have absolutely no recollection any such PCN,
let alone any parking contravention.
I must admit, I was rather incensed by it all and considered ignoring the letter entirely,
especially as the car park in question is outside the premises of a gym of which I'm a
member and regular user, and a couple of supermarkets I visit on an almost daily basis
to this day in London. After careful consideration however, I decided to seek a second
opinion on here, particularly from people who've had similar dealings with DCB Legal.
member and regular user, and a couple of supermarkets I visit on an almost daily basis
to this day in London. After careful consideration however, I decided to seek a second
opinion on here, particularly from people who've had similar dealings with DCB Legal.
By the way, considering this alleged parking offence dates nearly 4 years ago,
does it not exceed the permitted time limit for the pursuit of its settlement?






0
Comments
-
Ive pmd a response to send to them
use it as it is. there are also two email addresses for DCB LEGAL you should use both when you respond. 6 -
@hitman126 - trust the advice given by @BrownTrout, he knows what he's doing and is a trusted contributor here.Please note, we are not a legal advice forum. I personally don't get involved in critiquing court case Defences/Witness Statements, so unable to help on that front. Please don't ask. .
I provide only my personal opinion, it is not a legal opinion, it is simply a personal one. I am not a lawyer.
Give a man a fish, and you feed him for a day; show him how to catch fish, and you feed him for a lifetime.#Private Parking Firms - Killing the High Street4 -
Nine times out of ten these tickets are scams, so consider complaining to your MP, sometimes it can lead to cancellation.,
Parliament is well aware of the MO of these private parking companies, many of whom are former clampers. On 15th March 2019 a Bill was enacted to curb the excesses of these shysters. Codes of Practice are being drawn up, and hopefully this will become law shortly
You never know how far you can go until you go too far.2 -
Also 6 year limit to chase. No idea why people are shocked at this. Nearly 50 years of thus limit iirc3
-
I hope the OP realises that a claim will follow but we know what we are doing and he can defend it. And BT's advice is sound.PRIVATE 'PCN'? DON'T PAY BUT DON'T IGNORE IT (except N.Ireland).
CLICK at the top or bottom of any page where it says:
Home»Motoring»Parking Tickets Fines & Parking - read the NEWBIES THREAD3 -
@BrownTrout thanks ever so much. Will follow your kind advice.BrownTrout said:Ive pmd a response to send to them
use it as it is. there are also two email addresses for DCB LEGAL you should use both when you respond.3 -
when they reply (a proper reply) can you let us know please, it will go on hold and be referred back to their client so may take a little while for you to get thathitman126 said:
@BrownTrout thanks ever so much. Will follow your kind advice.BrownTrout said:Ive pmd a response to send to them
use it as it is. there are also two email addresses for DCB LEGAL you should use both when you respond.2 -
@BrownTrout Is your response similar to that as advised in the Newbie thread? If not, please would you mind PMing me a copy too as I recently received an almost identical letter from DCL Legal relating to a two year old alleged debt. Thanks1
-
@BrownTrout, is it also advisable to send a SAR to CP Plus/Group Nexus, or should I simply leave the response to your proposed letter?
Thank you.
0 -
Sending the PPC a SAR is an integral part of responding to a LoC. Doing so now won't negatively affect you. It's unlikely that BWL will know it's been sent, not that it would matter anyway.hitman126 said:@BrownTrout, is it also advisable to send a SAR to CP Plus/Group Nexus, or should I simply leave the response to your proposed letter?
Thank you.Please note, we are not a legal advice forum. I personally don't get involved in critiquing court case Defences/Witness Statements, so unable to help on that front. Please don't ask. .
I provide only my personal opinion, it is not a legal opinion, it is simply a personal one. I am not a lawyer.
Give a man a fish, and you feed him for a day; show him how to catch fish, and you feed him for a lifetime.#Private Parking Firms - Killing the High Street2
Confirm your email address to Create Threads and Reply
Categories
- All Categories
- 354.6K Banking & Borrowing
- 254.5K Reduce Debt & Boost Income
- 455.5K Spending & Discounts
- 247.5K Work, Benefits & Business
- 604.4K Mortgages, Homes & Bills
- 178.6K Life & Family
- 261.9K Travel & Transport
- 1.5M Hobbies & Leisure
- 16.1K Discuss & Feedback
- 37.7K Read-Only Boards

