We’d like to remind Forumites to please avoid political debate on the Forum.
This is to keep it a safe and useful space for MoneySaving discussions. Threads that are – or become – political in nature may be removed in line with the Forum’s rules. Thank you for your understanding.
EXCEL PCN with a twist
Comments
-
Do not give up the driver's name.
Do you not understand what this POFA stuff is all about?
If they have not conformed to the strict rules of POFA, then the driver's liability simply cannot be transferred to the keeper (aka hirer in this case).
If they don't know who the driver is then they have absolutely no-one to pin their invoice on.
That of course won't stop them trying to get the keeper/hirer to pay, in the hope that the keeper/hirer either doesn't understand or gets bullied into paying.
2 -
Thank you, sorry I just don't have the proper time to look at this with the ongoing crisis i'm heavily involved in...0
-
You and millions of others. I expect that when this is over, many of these parasites will have gone bust.You never know how far you can go until you go too far.2
-
Guys defence emailed in on time, thank you for all the help.....1
-
Hi guys,
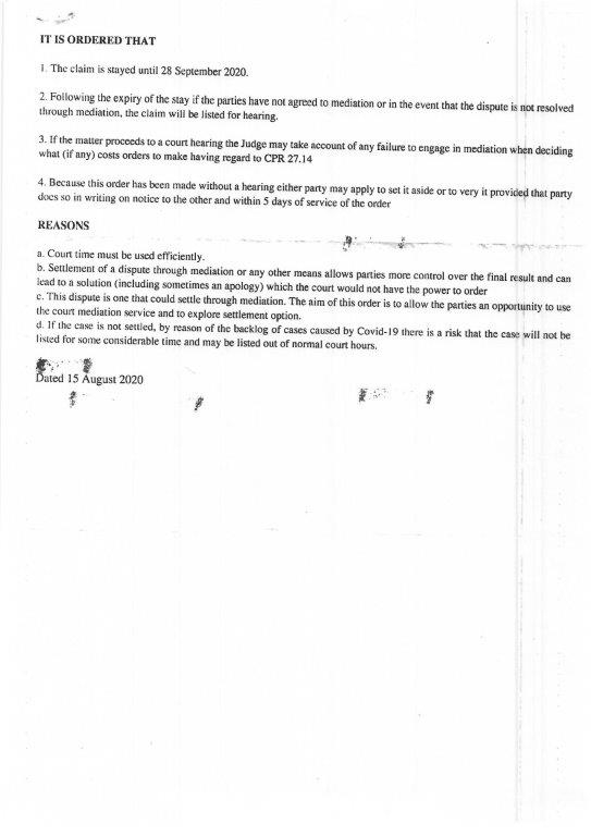
Quick update - So I have received 2 "notice of allocation to the small claims track" regarding my case. The first one stating that the claim will be heard on "a date to be notified after 2nd November 2020" (dated 8th August 2020) and the second saying "the claim is stayed until 28th September 2020" "without a hearing and on the courts own initiative" due to COVID-19 stating the case is suitable for mediation... After the 28th Sept if the matter proceeds to a court hearing the judge may take into account of any failure to engage in mediation etc.. I've attached the second notice (dated 15th August). Any advice on why I received two notices a week apart and do I need to do anything since I have no court date yet or do I just sit tight and wait for a hearing date? I've seen everyone say no to mediation, will a judge really care if no one party has attempted mediation? Thank you in advance...
0 -
Any advice on why I received two notices a week apart and do I need to do anything since I have no court date yet or do I just sit tight and wait for a hearing date?I think you might need to contact the court rather than rely on guesses here.Please note, we are not a legal advice forum. I personally don't get involved in critiquing court case Defences/Witness Statements, so unable to help on that front. Please don't ask. .
I provide only my personal opinion, it is not a legal opinion, it is simply a personal one. I am not a lawyer.
Give a man a fish, and you feed him for a day; show him how to catch fish, and you feed him for a lifetime.#Private Parking Firms - Killing the High Street2 -
The court are just doing messy admin from home, I expect. Stick around and comment on the new CoP this month please!
Please now make a real difference - A TASK FOR SEPTEMBER.
The Government is (this month only) consulting about a new statutory code of practice (CoP) and framework to rein in the rogue parking firms. Read and comment on the draft CoP proposal and the enforcement framework consultation, and get everyone you know to do the same.
You will need to register to comment on the CoP and enter an occupation even if you are retired or a homemaker, but otherwise it is easy to navigate, and comment upon each section/subsection individually. You can save comments to edit later and or submit comments once you are happy with them.
https://standardsdevelopment.bsigroup.com/projects/2020-00193#/section
You do not need to register to comment on the enforcement framework which can be found here. It has a link on page 5 to make comments.
https://assets.publishing.service.gov.uk/government/uploads/system/uploads/attachment_data/file/913272/Code_Enforcement_Framework_consultation.pdf
At the very least, we say the parking charge level should be £50/£25 or higher level £70/£35, as per Council PCNs in E&W.
And we say the added fake 'debt recovery' costs are just double counting the cost of letters, and MUST GO because that is unfair and illegal.
Please be heard. You can bet the hundreds of PPCs will be commenting.No apologies for repeating this vital 'call for action' to consumers, on every thread this month!
PRIVATE 'PCN'? DON'T PAY BUT DON'T IGNORE IT (except N.Ireland).
CLICK at the top or bottom of any page where it says:
Home»Motoring»Parking Tickets Fines & Parking - read the NEWBIES THREAD0 -
So definately NO to entering into any form of mediation then? (heard nothing from Excel), despite the threat/warnings in the "notification of allocation" letter, and just wait for the proper court/hearing date to be set before doing anything else? Basically I don't want to miss an important submission or deadline having come this far..
Coupon-mad - Will do re the new CoP this month1 -
No to mediation.
No to hearing the case on papers.
You want (ideally) a face to face hearing, or a telephone hearing. Go through the guide to court and make sure you haven't missed anything.I married my cousin. I had to...I don't have a sister.
All my screwdrivers are cordless."You're Safety Is My Primary Concern Dear" - Laks3 -
Hi Guys,
Happy new year & thank you for the advice, had my day in court today - Judge was not impressed with Excel's 'advocate' or their case - throw it out. Thank you again.....
10
Confirm your email address to Create Threads and Reply
Categories
- All Categories
- 353.6K Banking & Borrowing
- 254.2K Reduce Debt & Boost Income
- 455.1K Spending & Discounts
- 246.7K Work, Benefits & Business
- 603.1K Mortgages, Homes & Bills
- 178.1K Life & Family
- 260.7K Travel & Transport
- 1.5M Hobbies & Leisure
- 16K Discuss & Feedback
- 37.7K Read-Only Boards


