We’d like to remind Forumites to please avoid political debate on the Forum.
This is to keep it a safe and useful space for MoneySaving discussions. Threads that are – or become – political in nature may be removed in line with the Forum’s rules. Thank you for your understanding.
📨 Have you signed up to the Forum's new Email Digest yet? Get a selection of trending threads sent straight to your inbox daily, weekly or monthly!
The Forum now has a brand new text editor, adding a bunch of handy features to use when creating posts. Read more in our how-to guide
PIP - Appeal awarded me Daily Living/Enhanced Mobility 6 months ago, reassessment took it all away
Comments
-
You will be amazed how many people that work from do not get dressed etc.Bemmy2525 said:Working can definitely conflict with the "overwhelming psychological distress" descriptor especially since if you can hold down a job you can dress, wash etc and is the reason I lost my award when I had a disability a few years ago.
It is far easier to work with/be compatible with a physical disability than a mental health disorder due to the way the descriptors work for PIP.
Daughter does not, she just chucks a Snuddie on. If she needs a zoom meeting then just a decent top is put on..Life in the slow lane0 -
Thanks again all. I do understand how they may conflict but I’m lucky software development is something I hyper focus on - I’m lucky enough to be allowed to just do this as much as possible but it is at the detriment of anything else - it was hard enough to motivate myself for anything but now it’s worse to be honest as my brain can’t switch off from that.
Not sure if that makes sense!
Thinking about it though - I have a feeling the decision was rushed. I had to ask them if everything’s ok after 8 weeks as I was getting more and more anxious not hearing back. They said I’m next in someone’s list and if I don’t get a decision letter in 2 weeks they’d be very surprised and somethings ‘wrong’. Well 2 weeks later still nothing, I got my partner to ring them because I was more anxious than ever and they said a decision has been made but they’re waiting for it to be ‘approved’. Seemed a bit weird!
0 -
Nothing rushed, although the report is written on the day of the assessment it has a two pathways to completion.vitaminz said:Thanks again all. I do understand how they may conflict but I’m lucky software development is something I hyper focus on - I’m lucky enough to be allowed to just do this as much as possible but it is at the detriment of anything else - it was hard enough to motivate myself for anything but now it’s worse to be honest as my brain can’t switch off from that.
Not sure if that makes sense!
Thinking about it though - I have a feeling the decision was rushed. I had to ask them if everything’s ok after 8 weeks as I was getting more and more anxious not hearing back. They said I’m next in someone’s list and if I don’t get a decision letter in 2 weeks they’d be very surprised and somethings ‘wrong’. Well 2 weeks later still nothing, I got my partner to ring them because I was more anxious than ever and they said a decision has been made but they’re waiting for it to be ‘approved’. Seemed a bit weird!
Firstly if the assessor is new and under assessment, all there reports will be sent for audit. If they have passed probation then the report should normally go to the decision maker. Audit post probation is done an a random basis.
Either way these will go to a decision maker and then a decision made, after which is it ratified and sent to you. There is a back log and the wait time of 8 weeks is not unusual.
Dont take the “help” desks advice as they dont know, there is no way they will know where in the queue for the decission maker your assessment is.Proud to have dealt with our debtsStarting debt 2005 £65.7K.
Current debt ZERO.DEBT FREE0 -
Hi all,
I requested my assessors notes and had them today and to be honest I don’t really understand them. From what I can understand he’s saying the information gathered don’t match what I say?


0 -
It's quite a comprehensive assessment report from what I can see of it. I think they simply don't accept your claimed low level functional disabilities in the cluster of daily living activities is significant and is inconsistent with what you report as typical day experience - they are looking at majority of days. On Mobility 1 they seem also to conclude your restrictions are not serious as they detail you being able to take part in regular activities going out - the benchmark is very high in mobility 1 for those top scoring descriptors. Unless they've gathered facts for their report that are misleading or lack context then I can understand their conclusions... there's some natural extrapolation to conclusions but on the face of it not wild. They do accept difficulties engaging with others but not severe given their own rapport built with you. They were keen to explore cognitive function and seemed to conclude largely normal. The lack of input medically received other than medication you use.... is something you would have to counter as they seem to feel condition well managed and that treatment was somewhat effective for MH problems in past. Obviously you have opportunity to consider MR and then appeal if necessary. Generally they paint a picture of someone who is quite functional at home able to perform tasks and hold down a full time job without difficulty and going out with family as desired - obviously in appeal previously you were able to paint something different and obviously we haven't got sight of what your claimed problems are that may be more persuasive than the assessor report including to a tribunal."Do not attribute to conspiracy what can adequately be explained by incompetence" - rogerblack1
-
That's my reading of it, that the evidence doesn't support your claim in their view, and have used that instead of your oral / form statements.vitaminz said:Hi all,
I requested my assessors notes and had them today and to be honest I don’t really understand them. From what I can understand he’s saying the information gathered don’t match what I say?
I would be totally shocked if an MR would change the decision as the reported looks well reasoned (not saying I agree with it). Looks like another tribunal, clearly the last one believed you, so that is a very good sign.
Let's Be Careful Out There1 -
That's very useful because if any of that reasoning is faulty you can refute it and explain (e.g. if it's true you're not under medical care, explain why; discontinuation of OT and SLT when a child becomes an adult is routine and then explain whatever reasons why you haven't had any input there as an adult; etc.).
They've also used a lot of informal observations about focus and communication during the assessment, if the conclusions they've drawn are erroneous you can explain why too. Also tell them about any impact the assessment had on you afterwards, especially if it affected carrying out any other daily living activities. Because a snapshot of being able to function for an important appointment does not necessarily translate to everyday life - but assessors like to lean heavily on it.
It appears thorough and well-reasoned so we can see why the DWP DM came to the decision they did. But that does make it easier in a way to methodically refute any reasoning that's wrong (rather than a report being so wildly preposterous and all over the place you don't really know where to start).
[Btw anyone who knows: is HOC 'history of condition'?]2 -
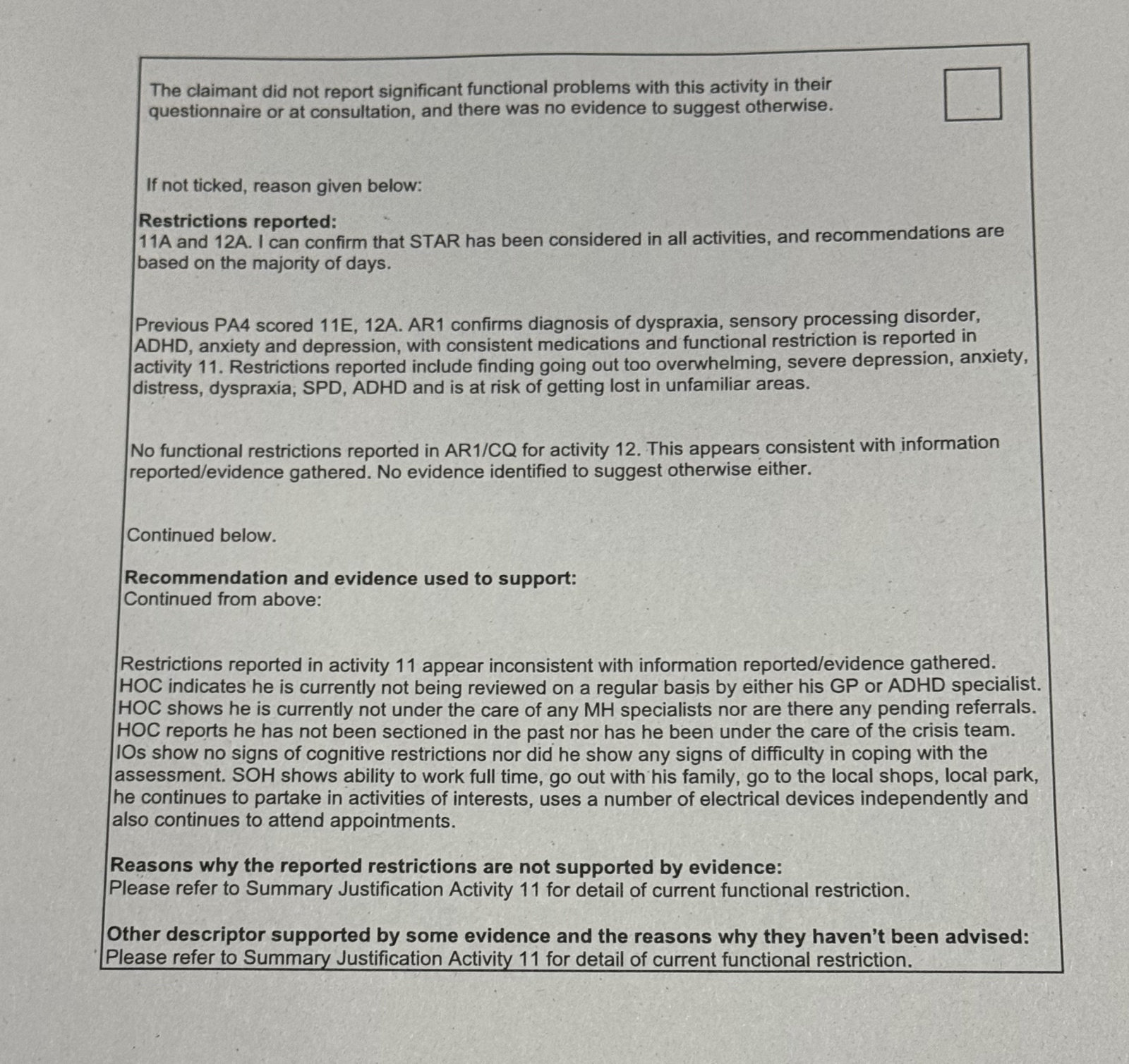
If I read this correctly youve reported no restrictions as noted in restrictions reported (1-10 A and 11-12A) it also notes your previous report PA4, with 11E being the only scoring activity on your previous report.
I believe that you took your last zero point assessment to tribunal and the outcome was as above.
If the assessor can write a zero point easier than a scoring point based on the evidence then that’s what they will do.
With no specialist input, no OT or language specialist, no MH input since the age of 16 etc etc the evidence points to a zero award. ``the have taken into consideration your medication and note 9B, 9C may apply however they then discount 9C.
Tribunal may look at your 11E which they applied (I believe wrongly) as OPD has a high bar and with a the sentence above indicating no specialist input, no MH input since aged 16, medication (propranolol) and partially effective CBT.Proud to have dealt with our debtsStarting debt 2005 £65.7K.
Current debt ZERO.DEBT FREE1 -
Spoonie_Turtle said:
[Btw anyone who knows: is HOC 'history of condition'?]Some abbreviations used by assessors (taken from a post at benefitsandwork.com)CQ – Claimant Questionnaire
FE – Further Evidence
FH – Functional History
FME – Further Medical Evidence
FRR4 – Telephone contact form
HOC – History of ConditionsMOD - Majority of Days
MSE – either Mental State Examination or MusculoSkeletal Examination depending on contextMSO - Musculoskeletal Observations
IO – Informal ObservationsOPD – Overwhelming Psychological Distress
POI – Proof of Identity
SOH – Social & Occupational Historyalso, used in the report posted by vitaminzFS - Functional Specialist (ie the Disability Assessor who conducted the assessment)
5 -
Thanks all for your comments
I will definitely explain about occupational therapy for my conditions mainly being in childhood, but what has alarmed me is that it feels looks every word has been twisted to have a different meaning. I said that CBT helped me realise I need an ADHD assessment (my therapist actually pointed this out and convinced me to get assessed), but he has taken this to mean CBT ‘helped’ my conditions mainly being. It helped me get a diagnosis for one part of my problems - but that’s all. I made sure, after some online and family advice, to ensure I’m clear if things are most of the time - but it’s like it’s been ignored? I have all my life had these issues and it left me in a spin wondering if I said the right thing? Or if I’m somehow lying to myself?
It also says I no longer have medical intervention - this is not true! I have regular reviews with the ADHD team, and also checkups with my GP for mental health, and I’m pretty sure I made that clear?The thought of going through all of it again is horrible. He seemed really understanding on the phone - he didn’t ask me to clarify anything which may have made his conclusions more accurate, he just seemed sympathetic. I know it’s probably to reduce my anxiety but it feels awful reading that report and seeing the ‘you said, I decided’ wording against me
My daily living conditions haven’t changed at all since I first applied in 2022, which the tribunal awarded me, and the mobility part hasn’t changed either - I work from home
I know one of the things is ‘if you can motivate yourself to work you can motivate yourself for other things’, and that’s something that’s made me feel guilty for a while, until my ADHD specialist told me hyper focus is very normal in ADHD and it’s true - I get completely absorbed and probably neglect myself even more.0
Confirm your email address to Create Threads and Reply
Categories
- All Categories
- 354.6K Banking & Borrowing
- 254.5K Reduce Debt & Boost Income
- 455.5K Spending & Discounts
- 247.5K Work, Benefits & Business
- 604.4K Mortgages, Homes & Bills
- 178.6K Life & Family
- 262K Travel & Transport
- 1.5M Hobbies & Leisure
- 16.1K Discuss & Feedback
- 37.7K Read-Only Boards

