We’d like to remind Forumites to please avoid political debate on the Forum.
This is to keep it a safe and useful space for MoneySaving discussions. Threads that are – or become – political in nature may be removed in line with the Forum’s rules. Thank you for your understanding.
IMPORTANT: Please make sure your posts do not contain any personally identifiable information (both your own and that of others). When uploading images, please take care that you have redacted all personal information including number plates, reference numbers and QR codes (which may reveal vehicle information when scanned).
📨 Have you signed up to the Forum's new Email Digest yet? Get a selection of trending threads sent straight to your inbox daily, weekly or monthly!
The Forum now has a brand new text editor, adding a bunch of handy features to use when creating posts. Read more in our how-to guide
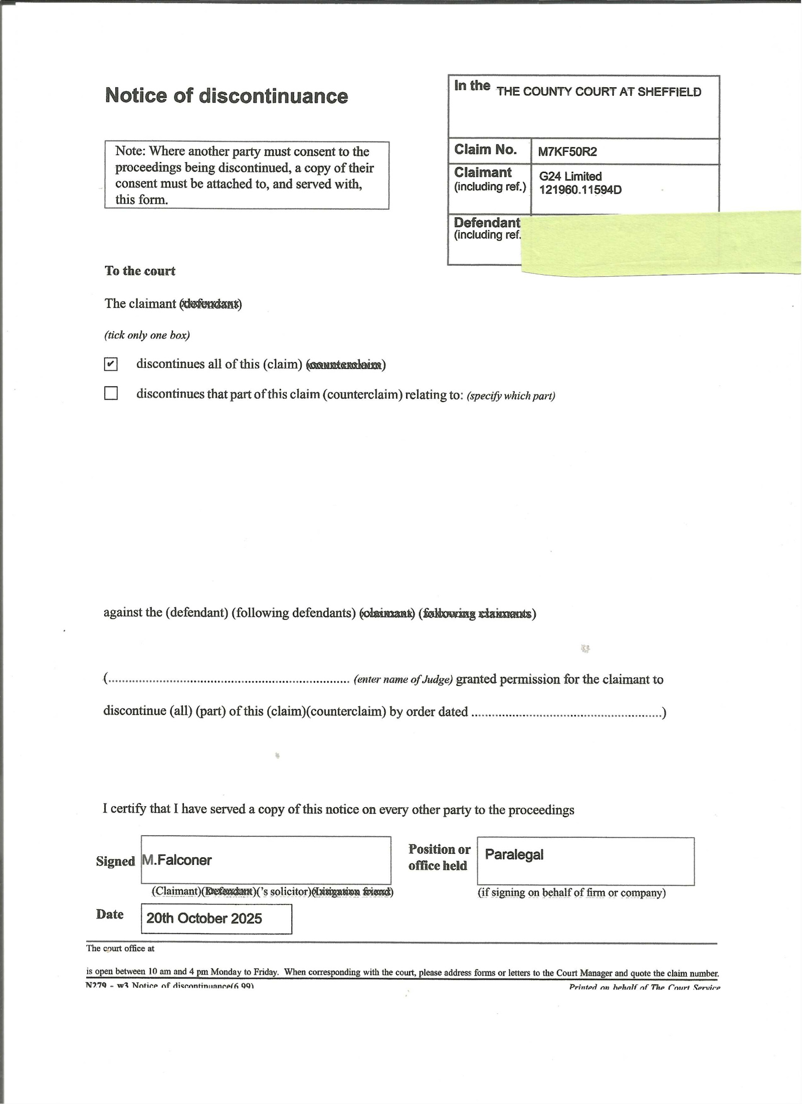
DCB Legal/G24Ltd court claim form
Comments
-
Here it is
4 -
-
Thank you @Pocha for the copy of your NoD. I can now get this counted in the DCBL Legal thread of shame. 👍Please note, we are not a legal advice forum. I personally don't get involved in critiquing court case Defences/Witness Statements, so unable to help on that front. Please don't ask. .
I provide only my personal opinion, it is not a legal opinion, it is simply a personal one. I am not a lawyer.
Give a man a fish, and you feed him for a day; show him how to catch fish, and you feed him for a lifetime.#Private Parking Firms - Killing the High Street1
Confirm your email address to Create Threads and Reply
Categories
- All Categories
- 354.6K Banking & Borrowing
- 254.4K Reduce Debt & Boost Income
- 455.5K Spending & Discounts
- 247.4K Work, Benefits & Business
- 604.3K Mortgages, Homes & Bills
- 178.5K Life & Family
- 261.8K Travel & Transport
- 1.5M Hobbies & Leisure
- 16.1K Discuss & Feedback
- 37.7K Read-Only Boards

