We’d like to remind Forumites to please avoid political debate on the Forum.
This is to keep it a safe and useful space for MoneySaving discussions. Threads that are – or become – political in nature may be removed in line with the Forum’s rules. Thank you for your understanding.
IMPORTANT: Please make sure your posts do not contain any personally identifiable information (both your own and that of others). When uploading images, please take care that you have redacted all personal information including number plates, reference numbers and QR codes (which may reveal vehicle information when scanned).
📨 Have you signed up to the Forum's new Email Digest yet? Get a selection of trending threads sent straight to your inbox daily, weekly or monthly!
The Forum now has a brand new text editor, adding a bunch of handy features to use when creating posts. Read more in our how-to guide
DCBL N180 and N244
DCBMelts
Posts: 10 Forumite
Hi All,
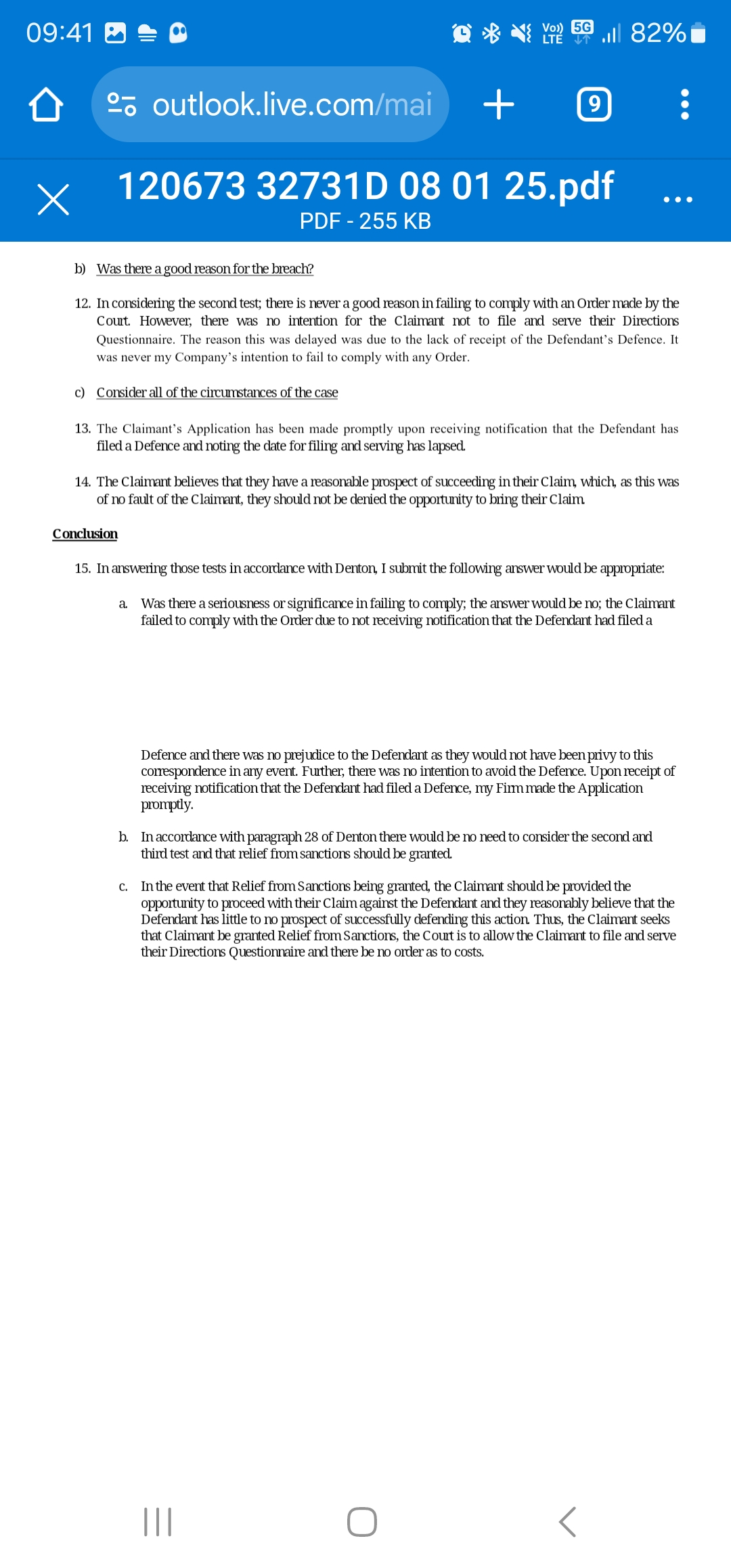
I have an ongoing wrangle with DCB regarding a "fine" they sent me. I've followed all the advice on the Newbies thread right up to the submitting my defence part. I'm just after some advice following an email they sent me last night. They attached their Directions questionnaire which I was expecting along with and N244 which i wasn't expecting. From reading it I can gather that they missed the 28 day deadline to continue following my defence submittal and are now asking the court to re open the case. Am I right in thinking this is the case and that they will have to now wait for the court to confirm they can continue?
I have an ongoing wrangle with DCB regarding a "fine" they sent me. I've followed all the advice on the Newbies thread right up to the submitting my defence part. I'm just after some advice following an email they sent me last night. They attached their Directions questionnaire which I was expecting along with and N244 which i wasn't expecting. From reading it I can gather that they missed the 28 day deadline to continue following my defence submittal and are now asking the court to re open the case. Am I right in thinking this is the case and that they will have to now wait for the court to confirm they can continue?
0
Comments
-
please scan up the n244 or the relevant parts of the application text
Its probably just to lift the stay, they do like wasting money1 -


This is what they sent me, this is the first correspondence I've received since filling my defence in November. I have checked the MCOL and there hasn't been anything new on there.0 -
So if you have used the template defence they are paying for this application which will see them most likely discontinue anyway
The application will most likely be granted.1 -
Yes I used the defence template slightly adjusted to my own case. OK so I assume once the application is granted I will receive my questionnaire to fill in from the courts and continue the same as any other case?0
-
Yes probably. But their story makes no sense. How can the deadline to file and serve a DQ have passed?
What does your MCOL history say? Copy & paste it here.PRIVATE 'PCN'? DON'T PAY BUT DON'T IGNORE IT (except N.Ireland).
CLICK at the top or bottom of any page where it says:
Home»Motoring»Parking Tickets Fines & Parking - read the NEWBIES THREAD0 -
Your acknowledgment of service was submitted on 25/11/2024 at 09:11:08Your acknowledgment of service was received on 25/11/2024 at 12:05:09Your defence was received on 29/11/20240
-
Nothing about DQs being sent out?! IMHO their application makes no sense but let them waste their money on it!PRIVATE 'PCN'? DON'T PAY BUT DON'T IGNORE IT (except N.Ireland).
CLICK at the top or bottom of any page where it says:
Home»Motoring»Parking Tickets Fines & Parking - read the NEWBIES THREAD0 -
No nothing about DQs only thing I had was a letter to say they had 28 days to respond to my defence, which they obviously didn't do in time, would assume this count in my favour if they took it to court.0
-
It won't affect anything. Sit and wait.PRIVATE 'PCN'? DON'T PAY BUT DON'T IGNORE IT (except N.Ireland).
CLICK at the top or bottom of any page where it says:
Home»Motoring»Parking Tickets Fines & Parking - read the NEWBIES THREAD0 -
Latest update as of this morning.
Case Stay Lifted on 16/01/2025
DQ sent to you on 16/01/2025
DQ filed by claimant on 16/01/2025
0
Confirm your email address to Create Threads and Reply
Categories
- All Categories
- 353.6K Banking & Borrowing
- 254.2K Reduce Debt & Boost Income
- 455.1K Spending & Discounts
- 246.7K Work, Benefits & Business
- 603.1K Mortgages, Homes & Bills
- 178.1K Life & Family
- 260.7K Travel & Transport
- 1.5M Hobbies & Leisure
- 16K Discuss & Feedback
- 37.7K Read-Only Boards

