We’d like to remind Forumites to please avoid political debate on the Forum.
This is to keep it a safe and useful space for MoneySaving discussions. Threads that are – or become – political in nature may be removed in line with the Forum’s rules. Thank you for your understanding.
📨 Have you signed up to the Forum's new Email Digest yet? Get a selection of trending threads sent straight to your inbox daily, weekly or monthly!
The Forum now has a brand new text editor, adding a bunch of handy features to use when creating posts. Read more in our how-to guide
Norwich Union / Aviva Investment Bond Linked to Life Insurance
ggyoung1968
Posts: 5 Forumite
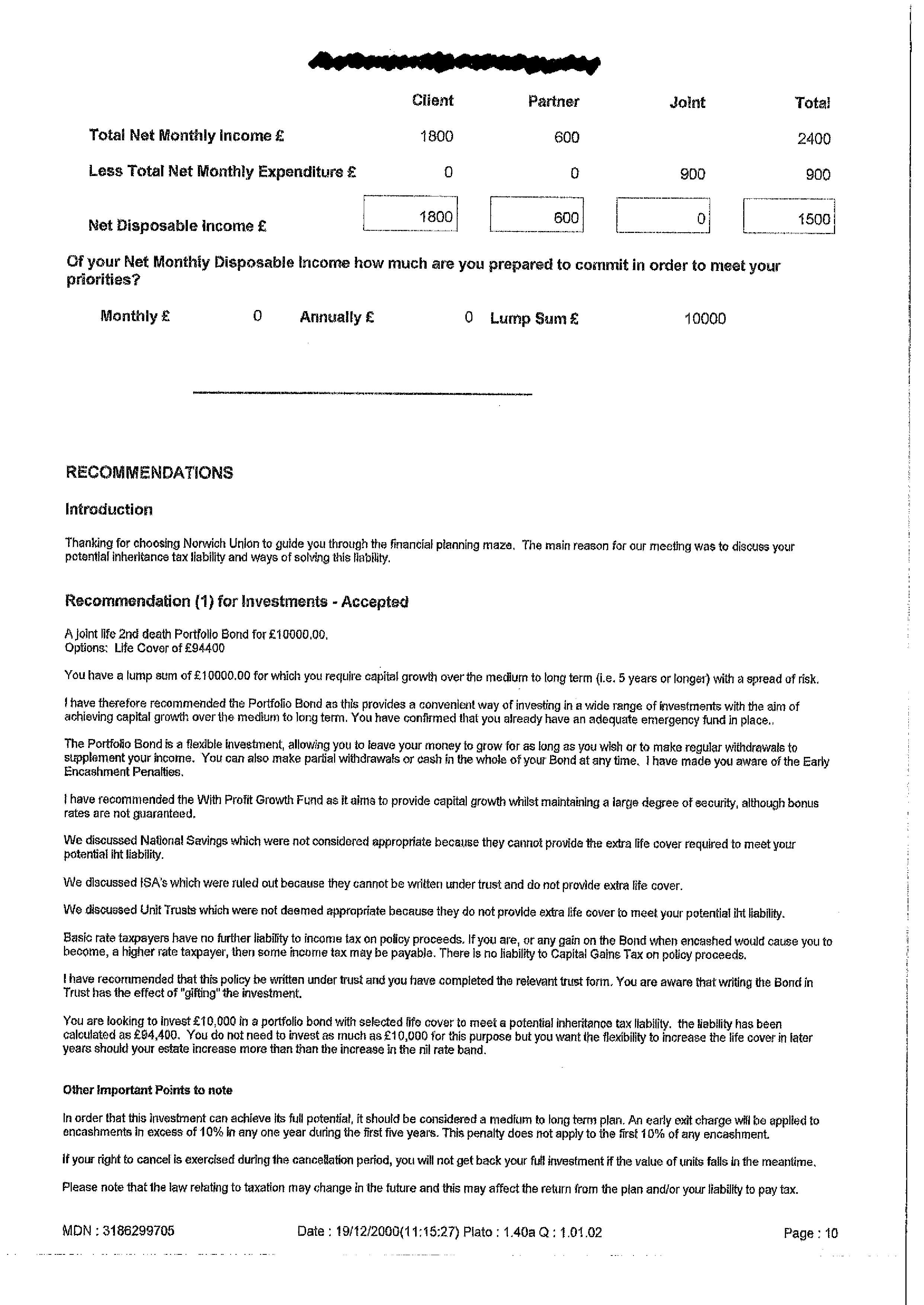
My late father invested £10,000 in a Norwich Union Bond (now Aviva) Joint Life 2nd Death Portfolio Bond, in 2000, to provide Life Insurance cover for himself and my mother. The Bond was placed in trust to his three children with the clear intention of providing assistance with IHT liability. This purpose (IHT Planning) is clearly documented in the notes, completed as part of the transaction, and provided by the Norwich Union Agent.
My mother has recently been advised by Aviva that the Bond now has insufficient value to meet the life insurance premiums. Having carefully read the notes from the meeting where the requirements were discussed with my parents, I believe that the proposed product was miss-sold (on the basis that the product was clearly sold associated with an IHT requirement and yet will not last until the death of the second person).
We have taken the case to the Ombudsman, but they are stating that Aviva are claiming that the Ombudsman can not process it, as there is a time limit of 6 years, from the date of the initial transaction.
0
Comments
-
What are the underlying investments and how much are the premiums (or are the premiums wrapped up in the fees)?
Is the premium element flat, or do they increase annually (with age/health)?
I would have thought that sufficient growth (to cover premiums/fees) is never guaranteed, despite what the intention of the bond was at inception.
Do you have the original illustration, and what did it say?
Has your Mum received any annual statements?
Did they purchase the bond through an IFA or a Wealth Management Company. What are the advisers fees too?How's it going, AKA, Nutwatch? - 12 month spends to date = 3.24% of current retirement "pot" (as at end December 2025)1 -
Another thought...
I understood that these types of Bonds paid out on death at 105% of the value of the investments at the time, as standard.
Did this bond include ADDITIONAL cover, for a fixed amount, over and above the £10,000 invested, and the growth from which was to pay the premiums for a higher amount of cover?
EG Cover of £50,000, with premiums payable from the growth of the £10,000 ?How's it going, AKA, Nutwatch? - 12 month spends to date = 3.24% of current retirement "pot" (as at end December 2025)1 -
Having carefully read the notes from the meeting where the requirements were discussed with my parents, I believe that the proposed product was miss-sold (on the basis that the product was clearly sold associated with an IHT requirement and yet will not last until the death of the second person).The objective of a plan does not mean it was missold because a) the person never increased the premiums to pay for the cost of extra life assurance or b) investment returns ended up being insufficient to cover the extra costs.
A very common scenario on these is that the individual bets on not living that long in retirement and goes for the minimum option where the life assurance is guaranteed for x number of years (typically 10-15 years) at a low level and then the premiums for the life assurance part jump to what they need to be thereafter. This is usually a higher figure as they are older and the investment returns have no chance of keeping up with the premiums and the fund value begins to erode until ultimately, it runs out of money.
People generally underestimate their life expectancy. Partly as until the last couple of years, it has been increasing every year. So, in 2000, the assumptions were quite probably that neither of them would live as long as they have.In law, there are timebars on action. Financial services has it's own timebars which are more favourable to the consumer than those in law but they still amount to the same thing.
We have taken the case to the Ombudsman, but they are stating that Aviva are claiming that the Ombudsman can not process it, as there is a time limit of 6 years, from the date of the initial transaction.
The FCA rules are that a complaint must be raised within 6 years of event being complained about (in this case the sale) or within 3 years of being reasonably aware of an issue. Both have to be met for it to be timebarred.
Clearly, the 6 year rule is met but the 3 year one hasn't been mentioned by you. However, I suspect this is easily met by Aviva as they send an annual statement to the trustees and there would have been warning letters as well (usually offering the option to increase the premiums externally or reduce the sum assured to avoid it running out). Any of these could have triggered the start of the 3 year clock.
You didnt ask any questions in your post.Did they purchase the bond through an IFA or a Wealth Management Company. What are the advisers fees too?Aviva wouldn't have any liability for the sale if it was sold by an IFA or other. They would reject the complaint saying "we provided no advice on this product". The fact they are applying the time bar indicates it was Aviva. Plus, the OP mentions it was an NU rep. It was not a fee based product.
I am an Independent Financial Adviser (IFA). The comments I make are just my opinion and are for discussion purposes only. They are not financial advice and you should not treat them as such. If you feel an area discussed may be relevant to you, then please seek advice from an Independent Financial Adviser local to you.2 -
Firstly - thanks for your questions / comments.
@sea-shell- The life insurance premiums are increasing in line with age. While I can understand this, it is not clear that this was made clear at the point of sale. The monthly insurance fees have risen from £1.80 per month the latest detail I have shows a cost of £142.31 per month (January 2017).
- I will need to check if we have the original illustration.
Aviva have provided Annual Statements showing the current values of the bond.
- I believe the policy was purchased directly through Norwich Union, I'm not aware what fees were payable to the adviser.
- The issue appears to be that the performance of the bond was not sufficient to meet the significant increases in the life insurance premiums.
- It would appear that the £10,000 investment was intended to generate sufficient return to fund the cost of the life insurance premiums. Upon the death of the second person it was understood that the payout would be the greater of the current value of the bond or the £94,400 life insurance.
- The policy stated that the premiums could be increased to provide additional cover, however, this was refuted approx. 10 years into the policy when my father enquired about increasing the level of life cover.
- Aviva have said that further funds can not be added to meet the increasing costs of the life insurance, the only option offered was to reduce the level of life insurance in order to reduce the monthly premiums and enable the cover to be provided for a longer period.
- I can only point back to the original notes where the product sold was based on a discussion about providing life insurance for my parents with the sole intention of providing assistance with IHT liability. The risks associated with the cost of the life insurance premiums reaching a point where they exhausted the value of the bond were not identified.
- My father had raised a question regarding the performance of the bond in 2017 and Aviva are linking this to the 3 year period of any further claim. The explanation to my fathers question was clear and he acknowledged the reasons for what he saw as the poor performance of the investment bond. This response, from my father, is unhelpful - in that he acknowledged his understanding of the value of the bond being low due to the rising cost of the life insurance. He was in very poor health at this stage (passing away 12 months later).
I have not been able to post the full notes document but have included the pages that appear most relevant.
The reason for my post was to understand if there were similar examples and to help me gauge the option of pursuing a claim through a solicitor / lawyer?


0 -
Firstly - thanks for your questions / comments.Sea_Shell said:Another thought...
I understood that these types of Bonds paid out on death at 105% of the value of the investments at the time, as standard.
Did this bond include ADDITIONAL cover, for a fixed amount, over and above the £10,000 invested, and the growth from which was to pay the premiums for a higher amount of cover?
EG Cover of £50,000, with premiums payable from the growth of the £10,000 ?- The life insurance premiums are increasing in line with age. While I can understand this, it is not clear that this was made clear at the point of sale. The monthly insurance fees have risen from £1.80 per month the latest detail I have shows a cost of £142.31 per month (January 2017).
- I will need to check if we have the original illustration.
Aviva have provided Annual Statements showing the current values of the bond.
- I believe the policy was purchased directly through Norwich Union, I'm not aware what fees were payable to the adviser.
- The issue appears to be that the performance of the bond was not sufficient to meet the significant increases in the life insurance premiums.
- It would appear that the £10,000 investment was intended to generate sufficient return to fund the cost of the life insurance premiums. Upon the death of the second person it was understood that the payout would be the greater of the current value of the bond or the £94,400 life insurance.
- The policy stated that the premiums could be increased to provide additional cover, however, this was refuted approx. 10 years into the policy when my father enquired about increasing the level of life cover.
- Aviva have said that further funds can not be added to meet the increasing costs of the life insurance, the only option offered was to reduce the level of life insurance in order to reduce the monthly premiums and enable the cover to be provided for a longer period.
- I can only point back to the original notes where the product sold was based on a discussion about providing life insurance for my parents with the sole intention of providing assistance with IHT liability. The risks associated with the cost of the life insurance premiums reaching a point where they exhausted the value of the bond were not identified.
- My father had raised a question regarding the performance of the bond in 2017 and Aviva are linking this to the 3 year period of any further claim. The explanation to my fathers question was clear and he acknowledged the reasons for what he saw as the poor performance of the investment bond. This response, from my father, is unhelpful - in that he acknowledged his understanding of the value of the bond being low due to the rising cost of the life insurance. He was in very poor health at this stage (passing away 12 months later).
I have not been able to post the full notes document but have included the pages that appear most relevant.
The reason for my post was to understand if there were similar examples and to help me gauge the option of pursuing a claim through a solicitor / lawyer?


0 -
Firstly - thanks for your questions / comments.dunstonh said:Having carefully read the notes from the meeting where the requirements were discussed with my parents, I believe that the proposed product was miss-sold (on the basis that the product was clearly sold associated with an IHT requirement and yet will not last until the death of the second person).The objective of a plan does not mean it was missold because a) the person never increased the premiums to pay for the cost of extra life assurance or b) investment returns ended up being insufficient to cover the extra costs.
A very common scenario on these is that the individual bets on not living that long in retirement and goes for the minimum option where the life assurance is guaranteed for x number of years (typically 10-15 years) at a low level and then the premiums for the life assurance part jump to what they need to be thereafter. This is usually a higher figure as they are older and the investment returns have no chance of keeping up with the premiums and the fund value begins to erode until ultimately, it runs out of money.
People generally underestimate their life expectancy. Partly as until the last couple of years, it has been increasing every year. So, in 2000, the assumptions were quite probably that neither of them would live as long as they have.In law, there are timebars on action. Financial services has it's own timebars which are more favourable to the consumer than those in law but they still amount to the same thing.
We have taken the case to the Ombudsman, but they are stating that Aviva are claiming that the Ombudsman can not process it, as there is a time limit of 6 years, from the date of the initial transaction.
The FCA rules are that a complaint must be raised within 6 years of event being complained about (in this case the sale) or within 3 years of being reasonably aware of an issue. Both have to be met for it to be timebarred.
Clearly, the 6 year rule is met but the 3 year one hasn't been mentioned by you. However, I suspect this is easily met by Aviva as they send an annual statement to the trustees and there would have been warning letters as well (usually offering the option to increase the premiums externally or reduce the sum assured to avoid it running out). Any of these could have triggered the start of the 3 year clock.
You didnt ask any questions in your post.Did they purchase the bond through an IFA or a Wealth Management Company. What are the advisers fees too?Aviva wouldn't have any liability for the sale if it was sold by an IFA or other. They would reject the complaint saying "we provided no advice on this product". The fact they are applying the time bar indicates it was Aviva. Plus, the OP mentions it was an NU rep. It was not a fee based product.- The life insurance premiums are increasing in line with age. While I can understand this, it is not clear that this was made clear at the point of sale. The monthly insurance fees have risen from £1.80 per month the latest detail I have shows a cost of £142.31 per month (January 2017).
- I will need to check if we have the original illustration.
Aviva have provided Annual Statements showing the current values of the bond.
- I believe the policy was purchased directly through Norwich Union, I'm not aware what fees were payable to the adviser.
- The issue appears to be that the performance of the bond was not sufficient to meet the significant increases in the life insurance premiums.
- It would appear that the £10,000 investment was intended to generate sufficient return to fund the cost of the life insurance premiums. Upon the death of the second person it was understood that the payout would be the greater of the current value of the bond or the £94,400 life insurance.
- The policy stated that the premiums could be increased to provide additional cover, however, this was refuted approx. 10 years into the policy when my father enquired about increasing the level of life cover.
- Aviva have said that further funds can not be added to meet the increasing costs of the life insurance, the only option offered was to reduce the level of life insurance in order to reduce the monthly premiums and enable the cover to be provided for a longer period.
- I can only point back to the original notes where the product sold was based on a discussion about providing life insurance for my parents with the sole intention of providing assistance with IHT liability. The risks associated with the cost of the life insurance premiums reaching a point where they exhausted the value of the bond were not identified.
- My father had raised a question regarding the performance of the bond in 2017 and Aviva are linking this to the 3 year period of any further claim. The explanation to my fathers question was clear and he acknowledged the reasons for what he saw as the poor performance of the investment bond. This response, from my father, is unhelpful - in that he acknowledged his understanding of the value of the bond being low due to the rising cost of the life insurance. He was in very poor health at this stage (passing away 12 months later).
I have not been able to post the full notes document but have included the pages that appear most relevant.
The reason for my post was to understand if there were similar examples and to help me gauge the option of pursuing a claim through a solicitor / lawyer?


0 -
- The issue appears to be that the performance of the bond was not sufficient to meet the significant increases in the life insurance premiums.
At the top of page 11 of the document, is clearly states that the performance of the bond is not guaranteed.
"The risks associated with the cost of the life insurance premiums reaching a point where they exhausted the value of the bond were not identified."
Were there any documents that made reference specifically to the insurance premiums, and how and when they would be increased?
Are you able to collect together all the statements, and calculate what premiums have been paid in total over the years? How much more (or less) than £10,000 were they.
Also what the bond valuation has been over the years. That way you can see if it's just been poor performance, or if in fact it was the size of the premiums that did the damage in these last few years, especially, with the market volatility we've had of late.
But as a layperson...I can't see any mis-selling there. It may not have met expectations, and in hindsight it may have not been the right product to meet that objective, but it wasn't sold under any false pretences.How's it going, AKA, Nutwatch? - 12 month spends to date = 3.24% of current retirement "pot" (as at end December 2025)1 -
Thanks again - I'll take a look at what we have in relation to the premiums and statements.Sea_Shell said:- The issue appears to be that the performance of the bond was not sufficient to meet the significant increases in the life insurance premiums.
At the top of page 11 of the document, is clearly states that the performance of the bond is not guaranteed.
"The risks associated with the cost of the life insurance premiums reaching a point where they exhausted the value of the bond were not identified."
Were there any documents that made reference specifically to the insurance premiums, and how and when they would be increased?
Are you able to collect together all the statements, and calculate what premiums have been paid in total over the years? How much more (or less) than £10,000 were they.
Also what the bond valuation has been over the years. That way you can see if it's just been poor performance, or if in fact it was the size of the premiums that did the damage in these last few years, especially, with the market volatility we've had of late.
But as a layperson...I can't see any mis-selling there. It may not have met expectations, and in hindsight it may have not been the right product to meet that objective, but it wasn't sold under any false pretences.0 -
to jump to the bottom line, the problem is that the timebar means the complaint will never be investigated. Whether it has merit or not.I am an Independent Financial Adviser (IFA). The comments I make are just my opinion and are for discussion purposes only. They are not financial advice and you should not treat them as such. If you feel an area discussed may be relevant to you, then please seek advice from an Independent Financial Adviser local to you.2
-
dunstonh said:to jump to the bottom line, the problem is that the timebar means the complaint will never be investigated. Whether it has merit or not.
Oh, I see. See, that's why you're the IFA and I'm just a layperson!
So basically any further investigation the OP may do, will basically be for their own curiosity only?!
I suppose they then need to ask themselves if having all the info, will make them feel better or worse?
Will they be able to "Let it Go!" or will it gnaw away at them, through not knowing.
Personally, I'd want to dig into the details and see where the wheels started to fall off, but then that's me.How's it going, AKA, Nutwatch? - 12 month spends to date = 3.24% of current retirement "pot" (as at end December 2025)1
Confirm your email address to Create Threads and Reply
Categories
- All Categories
- 354.6K Banking & Borrowing
- 254.5K Reduce Debt & Boost Income
- 455.5K Spending & Discounts
- 247.5K Work, Benefits & Business
- 604.4K Mortgages, Homes & Bills
- 178.6K Life & Family
- 261.9K Travel & Transport
- 1.5M Hobbies & Leisure
- 16.1K Discuss & Feedback
- 37.7K Read-Only Boards
