We’d like to remind Forumites to please avoid political debate on the Forum.
This is to keep it a safe and useful space for MoneySaving discussions. Threads that are – or become – political in nature may be removed in line with the Forum’s rules. Thank you for your understanding.
IMPORTANT: Please make sure your posts do not contain any personally identifiable information (both your own and that of others). When uploading images, please take care that you have redacted all personal information including number plates, reference numbers and QR codes (which may reveal vehicle information when scanned).
📨 Have you signed up to the Forum's new Email Digest yet? Get a selection of trending threads sent straight to your inbox daily, weekly or monthly!
The Forum now has a brand new text editor, adding a bunch of handy features to use when creating posts. Read more in our how-to guide
DCBL Discontinuance…
BEBELUCA2017
Posts: 40 Forumite


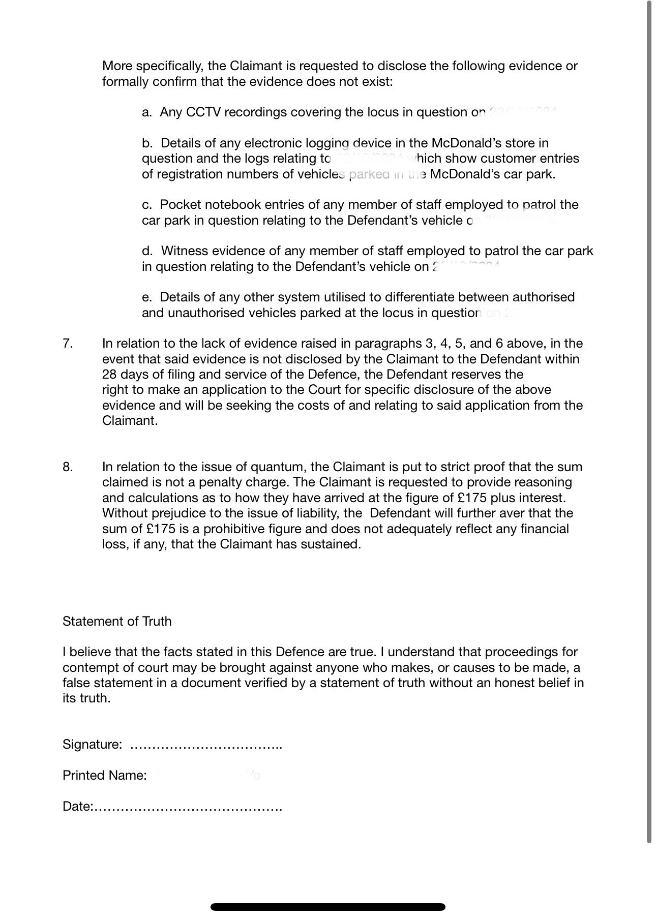
Hi,Just a quick thread to advise that DCBL issued Court proceedings earlier in the year for an alleged parking infraction where they made allegations that I had parked in a McDonalds car park without being a McDonalds customer.
I defended the claim based on some tips from this forum. It was listed for trial in early January and the hearing fee was due to be paid next week with exchange of witness statement la and written evidence to be effected next week too.
Yesterday I received a Notice of Discontinuance by email. I was quite relieved but in a similar vain I was slightly aggrieved also given that I wasn’t allowed to test their case and lack of evidence in Court.
I defended the claim based on some tips from this forum. It was listed for trial in early January and the hearing fee was due to be paid next week with exchange of witness statement la and written evidence to be effected next week too.
Yesterday I received a Notice of Discontinuance by email. I was quite relieved but in a similar vain I was slightly aggrieved also given that I wasn’t allowed to test their case and lack of evidence in Court.
Anyway, here’s my Defence and Notice of Discontinuance.
3
Comments
-
Just to add that throughout the period that proceedings were issued, I was bombarded with telephone calls from DCBL asking whether I wanted to settle the claim or make an offer. On each occasion I advised them that I had no offers to make. I agreed to go through with mediation and DCBL advised the mediator that they would accept a reduction of circa £2.00 (two pounds) to settle this matter. I was quite flabbergasted with this and I told the mediator that I had no offer to make to settle the matter due to the lack of evidence.
As was made clear in my Defence, the crux of their case was that the driver of my vehicle at the time was not a visitor to McDonalds however they did not disclose any evidence to back up this assertion. All they had was photographs of my vacant vehicle. There was no CCTV, photo evidence, witness evidence from an enforcement officer or logs from computer systems logging the users of the car park.2 -
Well done, but definitely not DCBL, it was DCB L3
-
Is it not DCBL Limited?0
-
Nope, it's DCB LEGAL LTD, the legal side, not DCB LTD, the debt collectors section, your first post says DCBLBEBELUCA2017 said:Is it not DCBL Limited?
https://dcblegal.co.uk/
Not
https://dcbltd.com/
The paperwork gave the correct details, especially the Money claim form below the claimants details2 -
Ah right. Got you now.1
-
Yay! Well done you for not blinking.BEBELUCA2017 said:

Hi,Just a quick thread to advise that DCBL issued Court proceedings earlier in the year for an alleged parking infraction where they made allegations that I had parked in a McDonalds car park without being a McDonalds customer.
I defended the claim based on some tips from this forum. It was listed for trial in early January and the hearing fee was due to be paid next week with exchange of witness statement la and written evidence to be effected next week too.
Yesterday I received a Notice of Discontinuance by email. I was quite relieved but in a similar vain I was slightly aggrieved also given that I wasn’t allowed to test their case and lack of evidence in Court.Anyway, here’s my Defence and Notice of Discontinuance.
PRIVATE 'PCN'? DON'T PAY BUT DON'T IGNORE IT (except N.Ireland).
CLICK at the top or bottom of any page where it says:
Home»Motoring»Parking Tickets Fines & Parking - read the NEWBIES THREAD3 -
Congrats, you beat two money scammers1
-
Thank you @BEBELUCA2017 for the copy of your NoD. I can now get this counted in the DCBL Legal thread of shame. 👍Please note, we are not a legal advice forum. I personally don't get involved in critiquing court case Defences/Witness Statements, so unable to help on that front. Please don't ask. .
I provide only my personal opinion, it is not a legal opinion, it is simply a personal one. I am not a lawyer.
Give a man a fish, and you feed him for a day; show him how to catch fish, and you feed him for a lifetime.#Private Parking Firms - Killing the High Street5 -
Thankyou to the forum too!!! I’ve also written a letter to the Country Court asking for consideration for costs. I don’t want to post it on an open forum but I’ll try to send you a PDF copy.2
-
I think that costs only come into the equation where the discontinuance notice is issued late (7 days or fewer before the trial date).But ask the question of the Judge. Worst he can do is issue a polite refusal. They no longer deport to the colonies! 😄Please note, we are not a legal advice forum. I personally don't get involved in critiquing court case Defences/Witness Statements, so unable to help on that front. Please don't ask. .
I provide only my personal opinion, it is not a legal opinion, it is simply a personal one. I am not a lawyer.
Give a man a fish, and you feed him for a day; show him how to catch fish, and you feed him for a lifetime.#Private Parking Firms - Killing the High Street5
Confirm your email address to Create Threads and Reply
Categories
- All Categories
- 353.5K Banking & Borrowing
- 254.2K Reduce Debt & Boost Income
- 455.1K Spending & Discounts
- 246.6K Work, Benefits & Business
- 603K Mortgages, Homes & Bills
- 178.1K Life & Family
- 260.6K Travel & Transport
- 1.5M Hobbies & Leisure
- 16K Discuss & Feedback
- 37.7K Read-Only Boards



