We’d like to remind Forumites to please avoid political debate on the Forum.
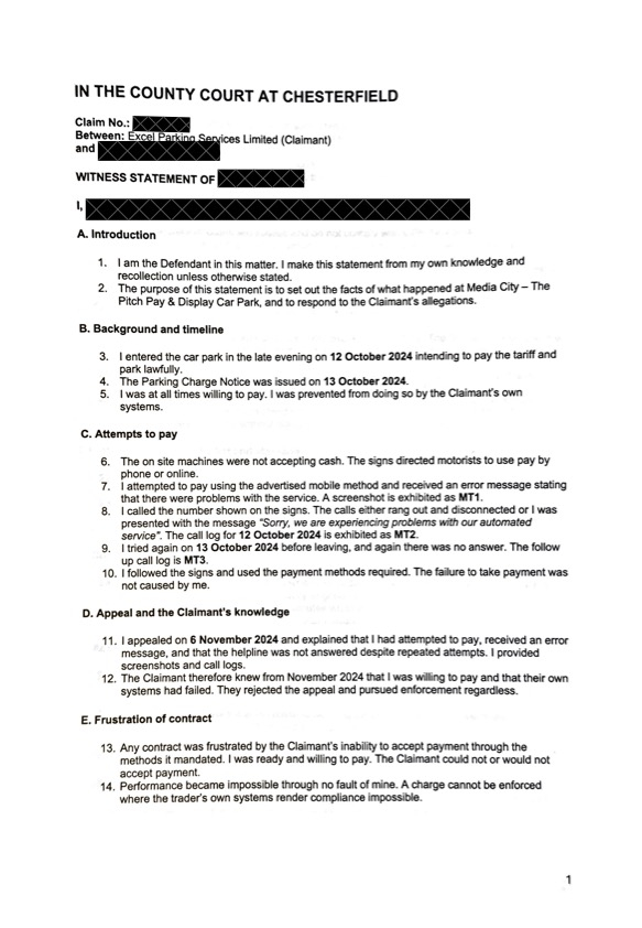
This is to keep it a safe and useful space for MoneySaving discussions. Threads that are – or become – political in nature may be removed in line with the Forum’s rules. Thank you for your understanding.
IMPORTANT: Please make sure your posts do not contain any personally identifiable information (both your own and that of others). When uploading images, please take care that you have redacted all personal information including number plates, reference numbers and QR codes (which may reveal vehicle information when scanned).
📨 Have you signed up to the Forum's new Email Digest yet? Get a selection of trending threads sent straight to your inbox daily, weekly or monthly!
The Forum now has a brand new text editor, adding a bunch of handy features to use when creating posts. Read more in our how-to guide
Draft Defence DCBL & Dates
Comments
-
Hi Grandad, I entered the car park late on the 12/10/25, pcn was the next morning on 13/10/25, I left about midday on the 13th.
What are your thoughts on the witness statement? Do I just send this to the dcb legal, below was the letter I received.1 -
Hi Coupon, thanks do I just add that? How do I know it? What would you do with the video of the pay by phone still saying it's not working today? DO I have to attach it or just mention as I have?
Do I just email this as is to the court email address and DCB legal?
Thanks for your help0 -
"How do you know that" Research on here! From reading the conduct of litigation Mazur thread! New case law. Read it now. You'll see.
Re the video, I would say in your WS that you will post it separately this week.
Email your WS to DCB Legal and to the local court hearings/enquiries email and ideally by cc'ing DCB Legal into the same email, with a covering sentence saying that by cc'ing in DCB Legal the court can see service is confirmed as per the Order of Judge xxxxx dated XX/09/25Claim number obviously goes in the subject line and URGENT: FTAO Judge xxxxxxPRIVATE 'PCN'? DON'T PAY BUT DON'T IGNORE IT (except N.Ireland).
CLICK at the top or bottom of any page where it says:
Home»Motoring»Parking Tickets Fines & Parking - read the NEWBIES THREAD0 -
Hi Coupon Mad,
I added the following and submitted32. The Particulars of Claim are signed by "Sarah Ensell". A search of the SRA Register does not identify any person of that name as an authorised solicitor. The Claimant is put to strict proof that the signatory was authorised to conduct litigation at the time of signature.
33. If the signatory was not an authorised person, the claim is defective at inception. The verification of the POC is a core step in conducting litigation and cannot be delegated to an unauthorised individual, even under supervision. This falls squarely within the reasoning of Mazur.
34. Further, there are serious public policy concerns about bulk claims being pursued via "fronted" arrangements. The High Court in Tactus Holdings Ltd (in admin) v Jordan & Ors [2025] EWHC 133 (Comm)confirmed that the doctrines of maintenance and champerty remain unlawful. Likewise, Farrar v Miller [2022] EWCA Civ 295 upheld that principle. If DCB Legal are funding, fronting or holding an interest in the outcome of these claims, that offends public policy.
35. In such circumstances, the Court is respectfully invited to strike out the claim as improperly constituted and to award the Defendant's costs on the indemnity basis, given the wholly unreasonable manner in which the litigation has been pursued.
Will I have any more paperwork to submit for costs before the hearing? I never received my original hearing letter? Am I supposed to do anything else before?









0 -
You'll have to take a printout of Mazur with you because you didn't give the judge the full case name and citation.
Anyway the important thing is:
- you emailed your WS & exhibits to the LOCAL court (not the CNBC) email and cc'd in DCB Legal and confirmed in the body of the email that the attachments were hereby filed and served?
If you didn't, you now have seven minutes to do so.
PRIVATE 'PCN'? DON'T PAY BUT DON'T IGNORE IT (except N.Ireland).
CLICK at the top or bottom of any page where it says:
Home»Motoring»Parking Tickets Fines & Parking - read the NEWBIES THREAD1 -
Thanks for all your help, I hope I did - I emailed chesterfieldcountycourt@justice.gov.uk at 12.34 with DCBL cc'd in and got a confirmation reply.
Dear Sir or Madam,
Please find attached my witness statement, evidence bundle and supporting video file (Evidence Exhibit MT5) for the above claim, in compliance with the courts order dated 23 September 2025.
I confirm that these documents have also been served on the Claimants representatives today, who are copied into this email.
Best Regards,
2 -
Big day tomorrow at 10AM, I telephoned the court on Friday to check my case was still on and it is.
Costs schedule - is this ok? Do I just print this snd I just ask the judge at the end if I win?DEFENDANT’S SCHEDULE OF COSTS
In the County Court at -----------
Claim No: ------------Between:
Excel Parking Services Limited (Claimant)
and
(Defendant)Standard costs (CPR 27.14(2)(a))
Item
Amount
Loss of earnings / loss of leave for attending court
£95.00
Travel to and from court: 5 miles @ £0.45 per mile
£2.25
Court parking
£_____
Printing and copying of documents
£15.00
Postage and stationery
£5.00
Subtotal (standard costs): £117.25 + parking
Additional costs for unreasonable conduct (CPR 27.14(2)(g))
Preparation time as a litigant in person:
6 hours @ £19 per hour = £114.00Total costs claimed: £231.25 + parking
I believe the above costs are reasonably incurred in defending this claim.
Signed: ___________________________
Name: -----------
Dated: ___________________________2 -
Email it NOW to court and DCB Legal.
You can't just rock up with it. However the £19 ph rate increased to £24 ph in October which means hours spent since then can be calculated separately.PRIVATE 'PCN'? DON'T PAY BUT DON'T IGNORE IT (except N.Ireland).
CLICK at the top or bottom of any page where it says:
Home»Motoring»Parking Tickets Fines & Parking - read the NEWBIES THREAD2 -
Whoops, my bad, Just emailed to them both, I misunderstood I wasn’t aware it needed to be filed in advance for a small claims hearing.
Id expected that to discountine, anyway see how tomorrow goes.
My cribsheetCRIB SHEET
Claim: Excel Parking Services Ltd v -------
Claim No: --------
Court: ---------Key Facts
- Entered car park late 12 October 2024 intending to pay.
- Cash not accepted.
- Tried phone/text payment — error message (MT1).
- Called helpline — rang out / automated failure (MT2–MT3).
- PCN issued 13 October 2024.
- Appealed 6 November 2024 with evidence — rejected.
- Same payment number still broken in Oct 2025 (MT5 video).
Main Legal Points
1. Frustration of Contract
- I was ready and willing to pay.
- Claimant’s own systems prevented payment.
- Performance was impossible through no fault of mine.
2. Ten-Minute Term is Unfair
- Time expired while actively trying to comply.
- Unreasonable to penalise a consumer following instructions.
3. Ongoing System Failure
- MT5 shows payment line still broken nearly a year later.
- Confirms systemic issue, not a one-off glitch.
4. Defective Particulars of Claim
- Breach CPR 16.4 and PD16.
- No contract terms pleaded.
- £170 unexplained.
- Claimant relies on PD7E character limit but never served full particulars.
5. Unauthorised Conduct of Litigation
- Reply to Defence signed by paralegal (MT7).
- Email signed by “Solicitor Apprentice” (MT6).
- POC signed by “Sarah Ensell”, not on SRA Roll.
- Mazur & Stuart v Charles Russell Speechlys LLP [2025]:
→ Only authorised persons may conduct litigation.
→ Supervision is not enough.
6. Unreasonable Business Model
- Claimant profits when systems fail.
- Motorists pay £100 instead of £2–£6 tariff.
- Not a legitimate interest under ParkingEye v Beavis.
7. £70 Add-On Not Recoverable
- Double recovery.
- Disallowed in parking cases (e.g. Britannia v Semark-Jullien).
8. Consumer Rights Act 2015
- Terms unfair where trader prevents compliance then penalises.
What I Ask the Court
- Dismiss or strike out the claim.
- Award costs for unreasonable conduct under CPR 27.14(2)(g).
0 -
- £70 Add-On Not Recoverable
- Double recovery.
- Disallowed in parking cases (e.g. Britannia v Semark-Jullien).
Absolutely NOT Semark-Jullien! Nonono! The Defendant was a perfect victim: a deluded Freeman of the Land daftie, and the clueless Circuit Judge did not disallow the add on.
DO NOT USE THAT CASE.
USE EXCEL v WILKINSON (this is provided in the NEWBIES thread second post) AND use BEAVIS to show the PCN covers all costs:Supreme Court quotes:
At para 98: The £85 PCs 'provided an income stream to enable ParkingEye to meet the costs of operating the scheme and make a profit.'
At para 99: ParkingEye 'meets the costs of doing so from charges for breach...'
At para 100: 'None of this means that ParkingEye could charge overstayers whatever it liked. It could not charge a sum which would be out of all proportion to its interest. [...] But there is no reason to suppose that £85 is out of all proportion to its interests. The trial judge...found that the £85 charge was neither extravagant nor unconscionable having regard to the levels imposed by local authorities'.
At para 143: 'The qualification and safeguard is that the agreed sum must not have been extravagant, unconscionable or incommensurate with any possible interest in the maintenance of the system...'
At para 193: The scheme 'covered Parking Eye’s costs of operation and gave their shareholders a healthy annual profit.'
At para 198: 'The charge has to be and is set at a level which enables the managers to recover the costs of operating the scheme. It is here also set at a level enabling ParkingEye to make a profit.'
At para 255: 'Where the test is to be applied to a clause fixing the level of damages to be paid on breach, an extravagant disproportion between the stipulated sum and the highest level of damages that could possibly arise from the breach would amount to a penalty and thus be unenforceable.'
At para 307: the £85 PC 'far exceeded any amount which was likely to be recoverable as damages for breach of contract or trespass.'
PRIVATE 'PCN'? DON'T PAY BUT DON'T IGNORE IT (except N.Ireland).
CLICK at the top or bottom of any page where it says:
Home»Motoring»Parking Tickets Fines & Parking - read the NEWBIES THREAD3
Confirm your email address to Create Threads and Reply
Categories
- All Categories
- 353.5K Banking & Borrowing
- 254.2K Reduce Debt & Boost Income
- 455K Spending & Discounts
- 246.6K Work, Benefits & Business
- 602.9K Mortgages, Homes & Bills
- 178.1K Life & Family
- 260.6K Travel & Transport
- 1.5M Hobbies & Leisure
- 16K Discuss & Feedback
- 37.7K Read-Only Boards
