We’d like to remind Forumites to please avoid political debate on the Forum.
This is to keep it a safe and useful space for MoneySaving discussions. Threads that are – or become – political in nature may be removed in line with the Forum’s rules. Thank you for your understanding.
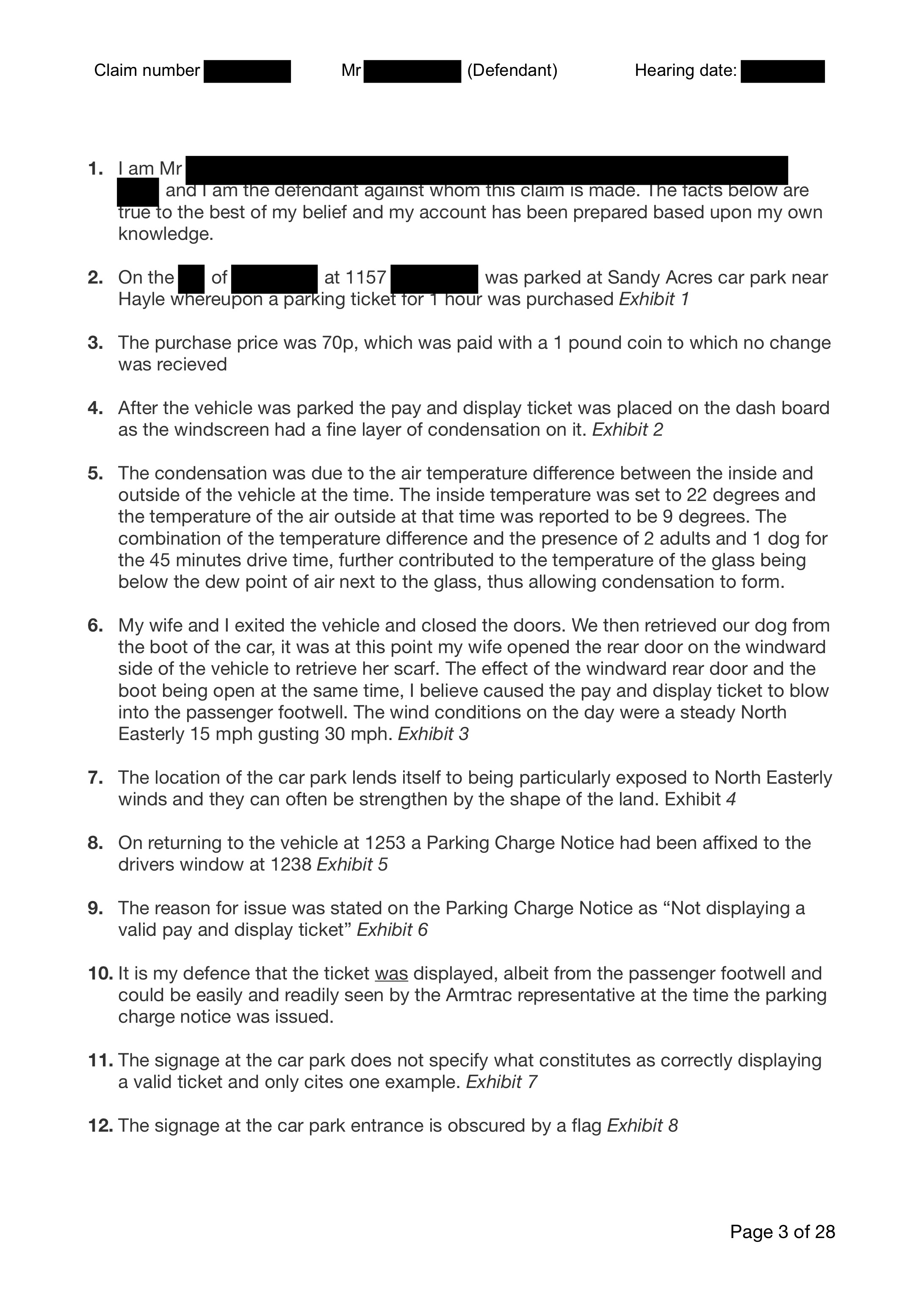
Fluttering ticket - Armtrac - BW legal
Dear All, I am hoping you can help me…….. I am in the final stages of a 3 year process over a ‘fluttering ticket’ with the next step to submit my witness statement prior to the court date in November.
The back story is as follows….
In November 2019 I parked at Sandy Acres car park near Hayle, Cornwall, I purchased a ticket and went for a walk, I returned within the allocated time to a PCN on the window issued by Armtrac. It was soon evident that the ticket had blown into the passengers footwell. The PCN was issued for not displaying a valid P&D ticket.
So began the back and forth with Armtrac and later BW legal at which point I discovered this incredibly informative forum.
Sadly some opportunity’s were missed on my part, notably the SAR information request, this was partly due to my working away and various other significant life events occurring during this time.
I have already paid to have my defence reinstated due to missing the deadline when the paperwork arrived from the court during my absence.
In using the invaluable advice on this forum I have had the courage to stand up to the injustice I have felt in this situation and the questionable practices of these firms in general.
I would be very grateful if someone could take a moment to check over my witness statement and perhaps give me an indication that what I have written is suitable and if I should amend it in any way.
I feel I should perhaps make further distinction between the Beavis case, perhaps add a picture of the sign?
Thank you in advance, and thank you to everyone who gives up their time to contribute to this forum, without your help I am sure many people in a similar situation to mine would have simply paid the fine and these company’s would continue to operate with impunity.













Comments
-
Please also see following Defence as submitted:


0 -
Your WS is missing the statement of truth and space for your signature and date, unless it is in your copy and you redacted it all?
Para 14 should be removed and para 15 is not correct, because the added fake costs are not banned yet. The Parking Industry threw money at it (and their toys out of the pram) with two Judicial Reviews and due to that, it is in limbo.You also don't have Excel v Wilkinson as an exhibit, nor a Costs Assessment document in your bundle.
I think you need to look at more recent example WS such as the one by @aphex007 which has the right exhibits and wording that you can copy and adapt.
Also, I am remembering earlier fluttering ticket WS cases where people used as an exhibit, a key case from the Local Authority TPT Adjudicators, where the motorist won.
Can't recall the case name and it's not binding on county court Judges, of course, but I think the rationale was quoted by at least one poster quite well a few months back.
Might be worth searching the forum for fluttering ticket defence and finding a few threads from the past year with either defence or WS submissions that others wrote already, a few of which will have the key case I'm thinking of.PRIVATE 'PCN'? DON'T PAY BUT DON'T IGNORE IT (except N.Ireland).
CLICK at the top or bottom of any page where it says:
Home»Motoring»Parking Tickets Fines & Parking - read the NEWBIES THREAD2 -
Thank you very much CM for those points, I will review and adapt accordingly!
With people like yourself willing to help out like this, the process seems a little less daunting!1 -
Can I ask, were you on holiday or are you a local.
If a local, then Truro will be your court which is a graveyard for BWLEGAL3 -
Hi patient_dream, I am a local! Thanks for your comment, that’s encouraging to hear. If you have any tips or advice I would be very grateful!0
-
Dear All, amendments now made as per Coupon-mad’s advice. Para 14 removed and para 15 amended. Reference to Excel v Wilkinson is made and statement of costs added. I have also read as much as I could find on fluttering ticket cases from this forum. Updated WS as follows, I hope this is sufficient, if so I will submit the bundle! Thanks again.



























0 -
You have two points numbered 13, but I'd just remove the second one, as the statement is fine without that.Remove exhibit 7 because that's a close-up of the sign which doesn't help your case. Let them put in that evidence, not you.PRIVATE 'PCN'? DON'T PAY BUT DON'T IGNORE IT (except N.Ireland).
CLICK at the top or bottom of any page where it says:
Home»Motoring»Parking Tickets Fines & Parking - read the NEWBIES THREAD0 -
Thank you very much for your time, I will make those amendments now and submit.
0 -
Witness statement submitted yesterday as instructed. I called the court today to make sure everything had been received correctly and they informed me that the claimant had requested the case be discontinued the previous day! I am yet to receive anything from BW legal to say this but great news!
I stated in my defence the folllowing:that any hearing is not vacated but continues as a costs hearing, in the event of a late Notice of Discontinuance. The Defendant seeks a finding of unreasonable behaviour in the pre-and post-action phases by this Claimant, and will seek further costs pursuant to CPR 46.5.
I just wanted to be sure on the procedure for continuing and the potential consequences for doing so, if someone could point me in the right direction I would be grateful.
Thank you again for everyone who submits content to these forums and helps out the unfortunate people who unwittingly fall foul of these unscrupulous companies!2 -
Up to you.
Have you got incurred costs you would be prepared to go to a hearing over and has the Claimant acted unreasonably in this litigation?
Mostly, I'd say walk away - enjoy your win!
ANOTHER USELESS ARMTRAC BW LEGAL ONE BITES THE DUST!
Congrats! Nicely done.
And we sincerely hope you are au fait with the need to respond to the final Govt Public Consultation later this year?
Hopefully it will be open by November.
We all need to ram that nail in the coffin of the proposed and excessive £130 'London level' that nobody asked for, and the false £70 'DRA fee' add-on, that actually funds the court claim and toxic CCJ culture, as well as the DRA gaslighting of people, pre-action.
If PPCs manage to turn around the decision on banning the gaslighting/claim-funding 'fees' then the DLUHC will be rubber-stamping £200 parking charges and if that happens, they (Government) and the PPCs will wreck high streets and people's lives - whoever is responsible if that happens (and it very nearly did in 2021) must hang their heads in shame.
Just checking you are among those ready to respond to the questions as you have personal experience of how this crap feels.
You'll need to bookmark the thread by MSE_JC at the top of the forum and enable (on your profile) email alerts for bookmarked threads.
PRIVATE 'PCN'? DON'T PAY BUT DON'T IGNORE IT (except N.Ireland).
CLICK at the top or bottom of any page where it says:
Home»Motoring»Parking Tickets Fines & Parking - read the NEWBIES THREAD0
Confirm your email address to Create Threads and Reply
Categories
- All Categories
- 354.4K Banking & Borrowing
- 254.4K Reduce Debt & Boost Income
- 455.4K Spending & Discounts
- 247.3K Work, Benefits & Business
- 604K Mortgages, Homes & Bills
- 178.4K Life & Family
- 261.5K Travel & Transport
- 1.5M Hobbies & Leisure
- 16K Discuss & Feedback
- 37.7K Read-Only Boards

